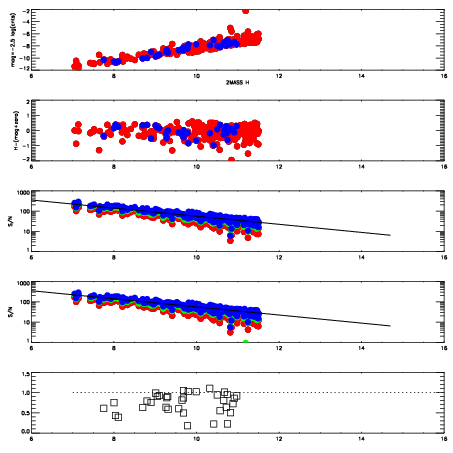
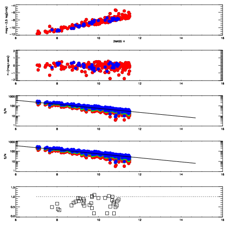
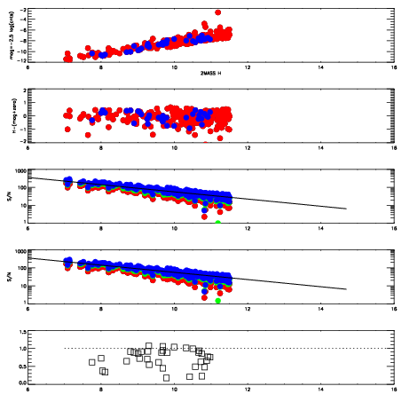
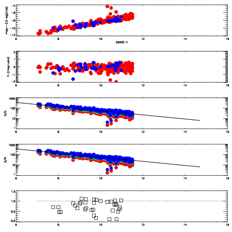
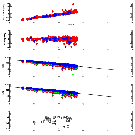
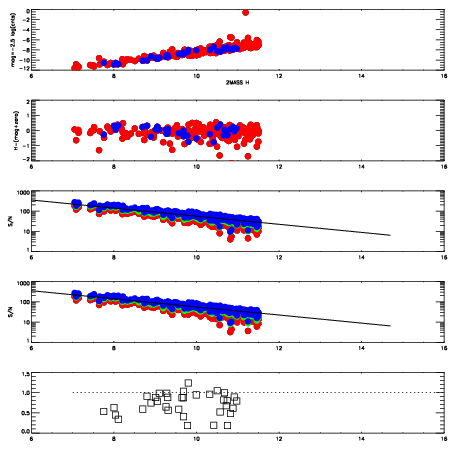
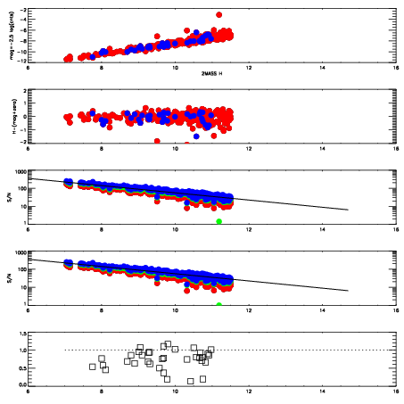
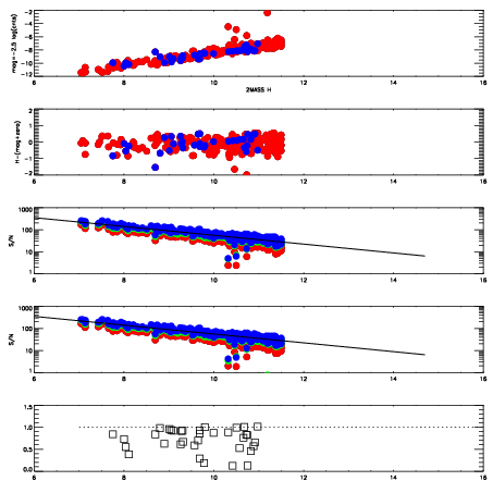
Frame | Nreads | Zeropoints | Mag plots
| Spatial mag deviation
| Spatial sky 16325A emission deviations (filled: sky, open: star)
| Spatial sky continuum emission
| Spatial sky telluric CO2 absorption deviations (filled: H < 10)
|
17760038
| 42
| | Red | Green | Blue
| z | | 18.43
| znorm | | 14.38
| sky | 14.6 | 14.3 | 14.5
| S/N | 11.7 | 20.0 | 22.7
| S/N(c) | 17.2 | 13.1 | 14.3
| SN(E/C) | 0.76
|
|
|
|
|
|
|
17760039
| 42
| | Red | Green | Blue
| z | | 18.41
| znorm | | 14.35
| sky | 14.6 | 14.5 | 14.8
| S/N | 11.2 | 19.2 | 21.9
| S/N(c) | 16.6 | 12.8 | 14.0
| SN(E/C) | 0.79
|
|
|
|
|
|
|
17760040
| 42
| | Red | Green | Blue
| z | | 18.49
| znorm | | 14.43
| sky | 14.9 | 14.7 | 14.6
| S/N | 10.6 | 17.9 | 21.2
| S/N(c) | 19.0 | 14.3 | 15.5
| SN(E/C) | 0.78
|
|
|
|
|
|
|
17760041
| 42
| | Red | Green | Blue
| z | | 18.52
| znorm | | 14.46
| sky | 15.0 | 14.8 | 14.8
| S/N | 10.6 | 18.0 | 20.4
| S/N(c) | 19.3 | 14.4 | 15.7
| SN(E/C) | 0.78
|
|
|
|
|
|
|
17760042
| 42
| | Red | Green | Blue
| z | | 18.53
| znorm | | 14.47
| sky | 14.7 | 14.7 | 14.7
| S/N | 11.7 | 20.7 | 22.7
| S/N(c) | 18.4 | 14.1 | 14.9
| SN(E/C) | 0.82
|
|
|
|
|
|
|
17760043
| 42
| | Red | Green | Blue
| z | | 18.48
| znorm | | 14.42
| sky | 14.8 | 14.6 | 14.7
| S/N | 11.3 | 19.7 | 22.3
| S/N(c) | 18.0 | 14.0 | 14.8
| SN(E/C) | 0.79
|
|
|
|
|
|
|
17760044
| 42
| | Red | Green | Blue
| z | | 18.62
| znorm | | 14.56
| sky | 14.8 | 14.7 | 14.8
| S/N | 12.8 | 21.6 | 24.5
| S/N(c) | 18.9 | 14.6 | 15.5
| SN(E/C) | 0.70
|
|
|
|
|
|
|
17760045
| 42
| | Red | Green | Blue
| z | | 18.56
| znorm | | 14.50
| sky | 14.8 | 14.9 | 14.4
| S/N | 12.5 | 20.9 | 24.0
| S/N(c) | 18.1 | 14.3 | 15.2
| SN(E/C) | 0.78
|
|
|
|
|
|
|