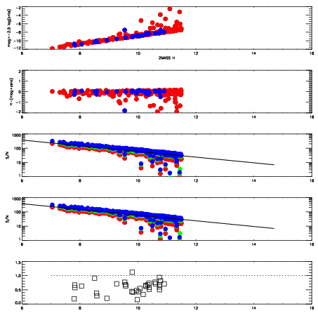
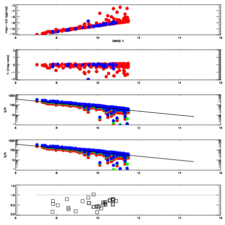
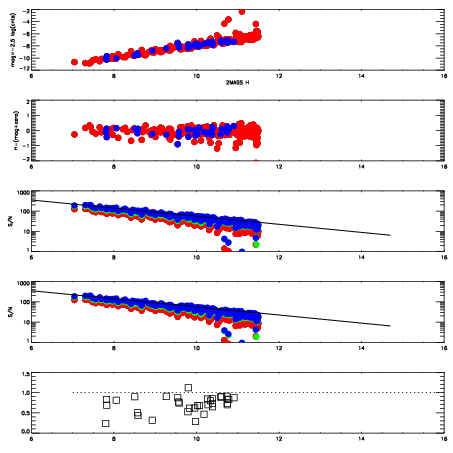
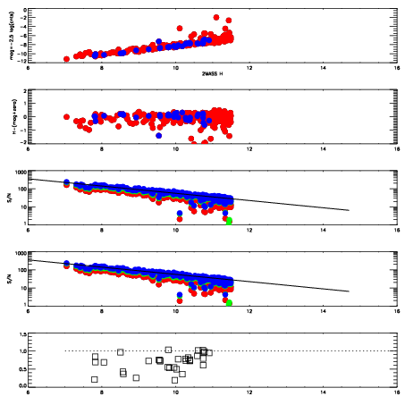
Frame | Nreads | Zeropoints | Mag plots
| Spatial mag deviation
| Spatial sky 16325A emission deviations (filled: sky, open: star)
| Spatial sky continuum emission
| Spatial sky telluric CO2 absorption deviations (filled: H < 10)
|
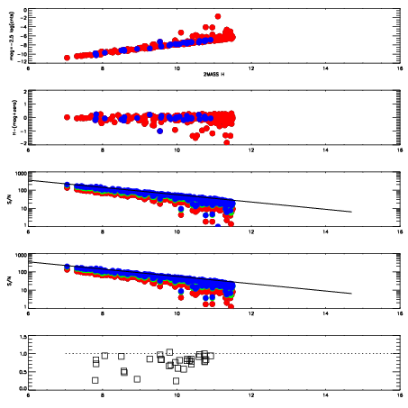
18700011
| 47
| | Red | Green | Blue
| z | | 18.92
| znorm | | 14.74
| sky | 13.5 | 13.3 | 12.9
| S/N | 14.9 | 23.1 | 26.2
| S/N(c) | 22.4 | 25.1 | 19.7
| SN(E/C) | 0.56
|
|
|
|
|
|
|
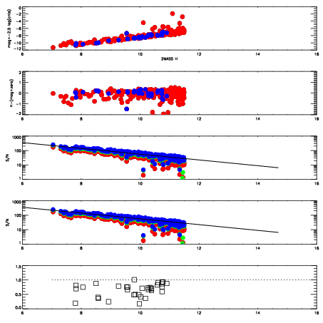
18700012
| 47
| | Red | Green | Blue
| z | | 18.82
| znorm | | 14.64
| sky | 14.0 | 13.6 | 13.4
| S/N | 14.2 | 21.9 | 25.2
| S/N(c) | 21.0 | 23.9 | 18.6
| SN(E/C) | 0.63
|
|
|
|
|
|
|
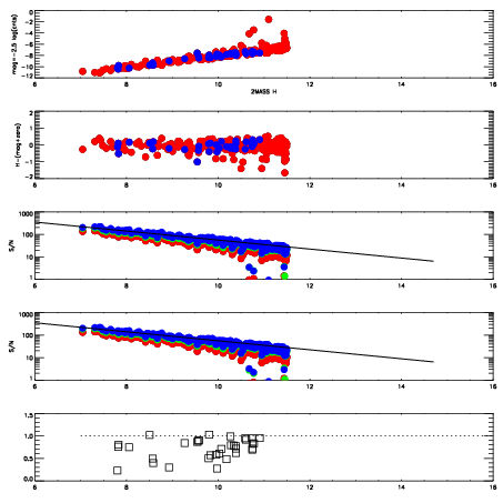
18700013
| 42
| | Red | Green | Blue
| z | | 17.82
| znorm | | 13.76
| sky | 14.5 | 14.2 | 14.3
| S/N | 7.5 | 13.5 | 15.1
| S/N(c) | 11.2 | 14.8 | 11.1
| SN(E/C) | 0.82
|
|
|
|
|
|
|
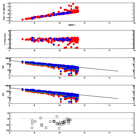
18700014
| 42
| | Red | Green | Blue
| z | | 18.08
| znorm | | 14.02
| sky | 14.8 | 14.6 | 14.1
| S/N | 8.9 | 15.3 | 17.6
| S/N(c) | 13.3 | 16.9 | 12.8
| SN(E/C) | 0.76
|
|
|
|
|
|
|
18700015
| 42
| | Red | Green | Blue
| z | | 18.24
| znorm | | 14.18
| sky | 14.5 | 14.5 | 14.1
| S/N | 9.6 | 16.3 | 18.4
| S/N(c) | 14.9 | 18.2 | 13.8
| SN(E/C) | 0.73
|
|
|
|
|
|
|
18700016
| 42
| | Red | Green | Blue
| z | | 18.37
| znorm | | 14.31
| sky | 14.6 | 14.5 | 14.3
| S/N | 10.5 | 17.9 | 20.3
| S/N(c) | 16.1 | 19.5 | 14.8
| SN(E/C) | 0.71
|
|
|
|
|
|
|
18700017
| 42
| | Red | Green | Blue
| z | | 18.13
| znorm | | 14.07
| sky | 14.9 | 14.7 | 14.4
| S/N | 8.5 | 14.9 | 16.7
| S/N(c) | 13.7 | 17.2 | 13.3
| SN(E/C) | 0.77
|
|
|
|
|
|
|
18700018
| 42
| | Red | Green | Blue
| z | | 17.96
| znorm | | 13.90
| sky | 14.8 | 14.7 | 14.4
| S/N | 7.3 | 13.4 | 15.0
| S/N(c) | 12.1 | 15.7 | 12.0
| SN(E/C) | 0.74
|
|
|
|
|
|
|