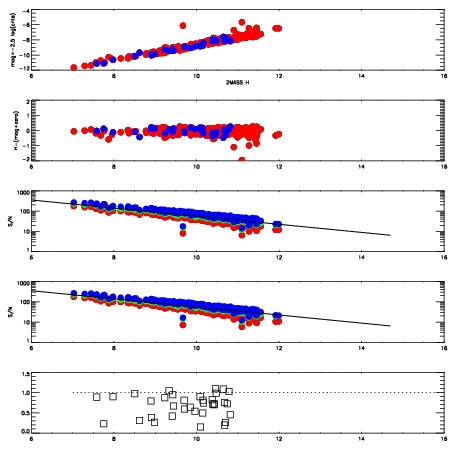
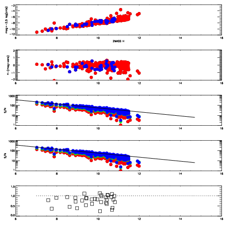
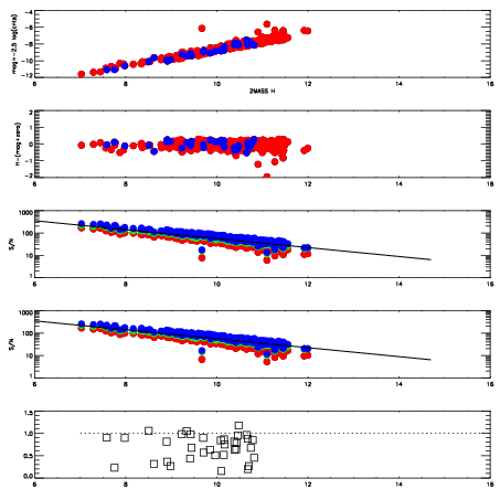
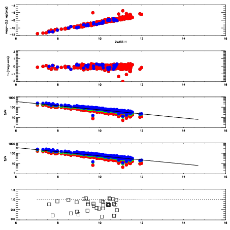
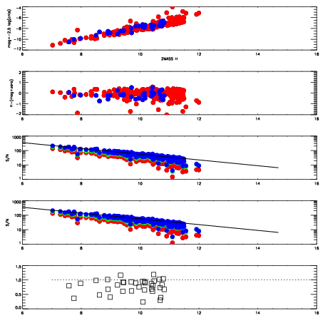
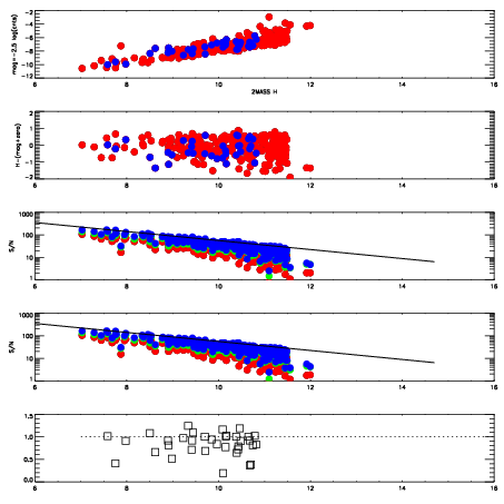
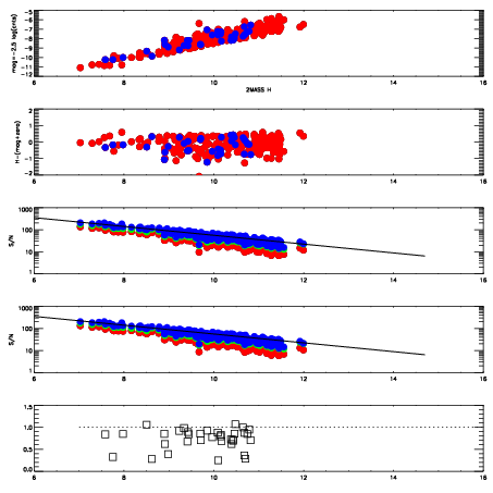
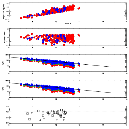
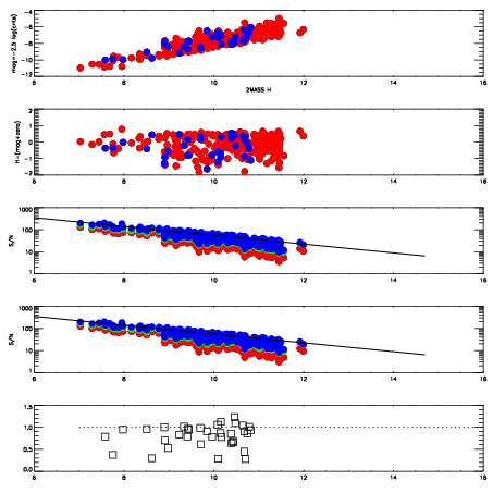
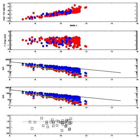
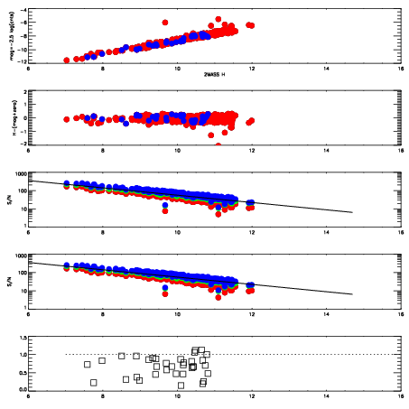
Frame | Nreads | Zeropoints | Mag plots
| Spatial mag deviation
| Spatial sky 16325A emission deviations (filled: sky, open: star)
| Spatial sky continuum emission
| Spatial sky telluric CO2 absorption deviations (filled: H < 10)
|
18650020
| 42
| | Red | Green | Blue
| z | | 17.57
| znorm | | 13.51
| sky | 15.0 | 14.6 | 14.7
| S/N | 1.9 | 4.5 | 5.1
| S/N(c) | 10.5 | 15.0 | 12.4
| SN(E/C) | 0.91
|
|
|
|
|
|
|
18650021
| 42
| | Red | Green | Blue
| z | | 17.67
| znorm | | 13.61
| sky | 15.0 | 14.8 | 14.8
| S/N | 2.0 | 5.2 | 5.7
| S/N(c) | 10.9 | 15.4 | 12.8
| SN(E/C) | 0.91
|
|
|
|
|
|
|
18650022
| 42
| | Red | Green | Blue
| z | | 17.98
| znorm | | 13.92
| sky | 15.1 | 15.0 | 14.9
| S/N | 12.6 | 22.2 | 24.5
| S/N(c) | 12.4 | 17.2 | 14.3
| SN(E/C) | 0.86
|
|
|
|
|
|
|
18650023
| 42
| | Red | Green | Blue
| z | | 18.09
| znorm | | 14.03
| sky | 14.9 | 15.1 | 14.8
| S/N | 12.9 | 22.2 | 24.8
| S/N(c) | 13.1 | 17.8 | 15.1
| SN(E/C) | 0.88
|
|
|
|
|
|
|
18650024
| 42
| | Red | Green | Blue
| z | | 18.73
| znorm | | 14.67
| sky | 14.5 | 14.6 | 14.8
| S/N | 11.0 | 19.8 | 21.2
| S/N(c) | 20.7 | 26.4 | 22.3
| SN(E/C) | 0.72
|
|
|
|
|
|
|
18650025
| 42
| | Red | Green | Blue
| z | | 18.69
| znorm | | 14.63
| sky | 15.2 | 14.9 | 14.8
| S/N | 10.7 | 19.3 | 20.1
| S/N(c) | 20.2 | 25.4 | 21.7
| SN(E/C) | 0.75
|
|
|
|
|
|
|
18650026
| 42
| | Red | Green | Blue
| z | | 17.98
| znorm | | 13.92
| sky | 14.9 | 15.0 | 15.0
| S/N | 3.9 | 9.0 | 9.1
| S/N(c) | 13.0 | 17.5 | 15.1
| SN(E/C) | 0.82
|
|
|
|
|
|
|
18650027
| 42
| | Red | Green | Blue
| z | | 18.02
| znorm | | 13.96
| sky | 14.8 | 14.9 | 14.9
| S/N | 4.3 | 9.8 | 10.6
| S/N(c) | 13.4 | 18.5 | 15.8
| SN(E/C) | 0.82
|
|
|
|
|
|
|
18650028
| 42
| | Red | Green | Blue
| z | | 18.14
| znorm | | 14.08
| sky | 14.8 | 14.8 | 15.3
| S/N | 13.4 | 22.9 | 25.5
| S/N(c) | 14.5 | 19.3 | 16.5
| SN(E/C) | 0.83
|
|
|
|
|
|
|
18650029
| 42
| | Red | Green | Blue
| z | | 18.13
| znorm | | 14.07
| sky | 14.9 | 15.0 | 15.1
| S/N | 13.6 | 23.5 | 25.7
| S/N(c) | 14.0 | 18.6 | 16.1
| SN(E/C) | 0.86
|
|
|
|
|
|
|
18650030
| 42
| | Red | Green | Blue
| z | | 18.69
| znorm | | 14.63
| sky | 15.1 | 15.0 | 14.9
| S/N | 10.7 | 19.8 | 21.0
| S/N(c) | 20.2 | 25.5 | 21.6
| SN(E/C) | 0.70
|
|
|
|
|
|
|
18650031
| 42
| | Red | Green | Blue
| z | | 18.64
| znorm | | 14.58
| sky | 14.8 | 14.9 | 14.9
| S/N | 10.8 | 19.8 | 20.8
| S/N(c) | 19.7 | 24.7 | 21.0
| SN(E/C) | 0.73
|
|
|
|
|
|
|