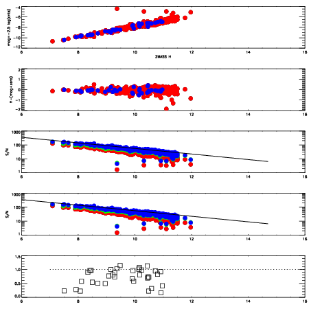
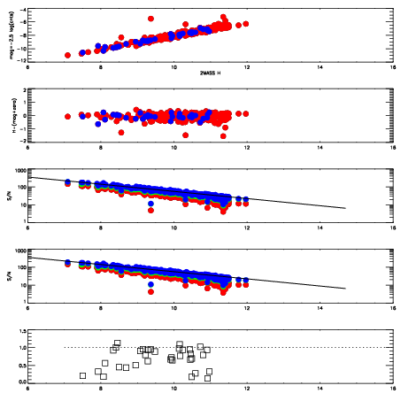
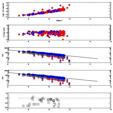
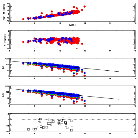
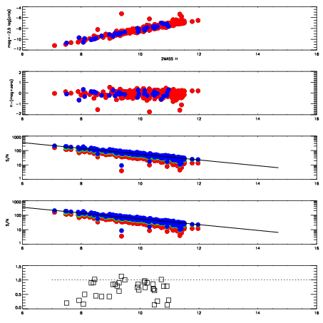
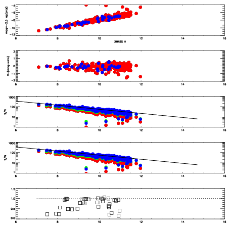
Left plots: red are targets, blue are telluric. Observed mags are calculated from median value of green chip. Zeropoint gives overall throughput: bigger number is more throughput.
First spatial plots: circles are objects, squares are tellurics, crosses are sky fibers. Colors give deviation of observed mag from expected 2MASS mag using the median zeropoint; red is brighter
Second spatial plots: circles are sky fibers. Colors give sky line brightness relative to plate median sky line brightness
FrameNreadsZeropointsMag plots Spatial mag deviation Spatial sky 16325A emission deviations (filled: sky, open: star) Spatial sky continuum emission Spatial sky telluric CO2 absorption deviations (filled: H < 10)
18700043 42
RedGreenBlue
z18.35
znorm14.29
sky 14.7 14.4 14.6
S/N 1.3 3.3 3.6
S/N(c) 16.7 21.9 6.4
SN(E/C) 0.74
18700044 42
RedGreenBlue
z18.33
znorm14.27
sky 15.0 14.7 14.8
S/N 1.6 2.7 2.6
S/N(c) 16.6 21.6 6.2
SN(E/C) 0.75
18700045 42
RedGreenBlue
z18.29
znorm14.24
sky 15.0 14.8 14.8
S/N 12.1 20.2 21.5
S/N(c) 15.9 21.2 6.0
SN(E/C) 0.74
18700046 42
RedGreenBlue
z18.15
znorm14.09
sky 15.0 14.9 14.9
S/N 10.3 17.8 18.5
S/N(c) 14.8 19.9 5.6
SN(E/C) 0.77
18700047 42
RedGreenBlue
z17.91
znorm13.86
sky 14.9 14.9 15.0
S/N 3.6 8.0 7.8
S/N(c) 12.5 17.7 5.0
SN(E/C) 0.77
18700048 42
RedGreenBlue
z18.01
znorm13.95
sky 15.8 15.0 14.9
S/N 3.0 5.8 5.5
S/N(c) 13.4 18.5 5.2
SN(E/C) 0.80