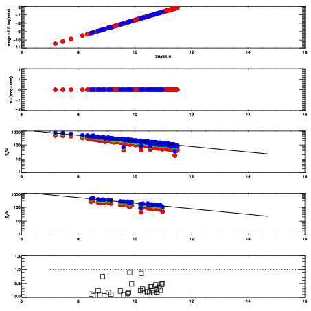
Left plots: red are targets, blue are telluric. Observed mags are calculated from median value of green chip. Zeropoint gives overall throughput: bigger number is more throughput.
First spatial plots: circles are objects, squares are tellurics, crosses are sky fibers. Colors give deviation of observed mag from expected 2MASS mag using the median zeropoint; red is brighter
Second spatial plots: circles are sky fibers. Colors give sky line brightness relative to plate median sky line brightness
FrameNreadsZeropointsMag plots Spatial mag deviation Spatial sky 16325A emission deviations (filled: sky, open: star) Spatial sky continuum emission Spatial sky telluric CO2 absorption deviations (filled: H < 10)
0 0
RedGreenBlue
z17.64
znorm Inf
sky -Inf -Inf -NaN
S/N 34.9 61.8 68.1
S/N(c) 0.0 0.0 0.0
SN(E/C) 0.23

IPAIRNAMESHIFTNEWSHIFTS/N NAMESHIFTNEWSHIFTS/N
0 15300013 0.504155 0.00000 18.0410 15300014 -0.00182313 0.505978 18.0031
1 15300016 0.501936 0.00221896 18.7654 15300015 -0.00300040 0.507155 18.7898
2 15300029 0.501550 0.00260496 18.7415 15300030 -0.00391829 0.508073 18.6429
3 15300024 0.502846 0.00130898 18.5621 15300023 -0.00304245 0.507197 18.6131
4 15300021 0.503272 0.000882983 18.5063 15300022 -0.00284718 0.507002 18.5664
5 15300017 0.503924 0.000230968 18.3781 15300018 -0.00192417 0.506079 18.3741
6 15300032 0.501834 0.00232100 18.3486 15300031 -0.00394370 0.508099 18.3511
7 15300028 0.501301 0.00285399 18.2752 15300027 -0.00430198 0.508457 18.3485
8 15300012 0.503555 0.000599980 18.2421 15300026 -0.00385108 0.508006 18.2703
9 15300025 0.504051 0.000103951 18.2213 15300019 -0.00214013 0.506295 18.2230
10 15300020 0.503452 0.000702977 18.2141 15300011 0.00000 0.504155 18.1588
11 15300033 0.502675 0.00147998 18.0853 15300034 -0.00325506 0.507410 18.0412