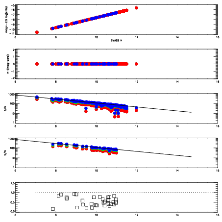
Left plots: red are targets, blue are telluric. Observed mags are calculated from median value of green chip. Zeropoint gives overall throughput: bigger number is more throughput.
First spatial plots: circles are objects, squares are tellurics, crosses are sky fibers. Colors give deviation of observed mag from expected 2MASS mag using the median zeropoint; red is brighter
Second spatial plots: circles are sky fibers. Colors give sky line brightness relative to plate median sky line brightness
FrameNreadsZeropointsMag plots Spatial mag deviation Spatial sky 16325A emission deviations (filled: sky, open: star) Spatial sky continuum emission Spatial sky telluric CO2 absorption deviations (filled: H < 10)
0 0
RedGreenBlue
z17.64
znorm Inf
sky -Inf -Inf -NaN
S/N 18.0 33.3 33.4
S/N(c) 0.0 0.0 0.0
SN(E/C) 0.53

IPAIRNAMESHIFTNEWSHIFTS/N NAMESHIFTNEWSHIFTS/N
0 14580047 0.497573 0.00000 17.8363 14580046 -0.000893576 0.498467 17.8176
1 14580043 0.495868 0.00170499 18.4312 14580049 -0.00225733 0.499830 18.3279
2 14580048 0.497465 0.000107974 18.3804 14580045 -0.00158155 0.499155 18.2571
3 14580044 0.496818 0.000754982 18.2023 14580042 0.00000 0.497573 18.0865