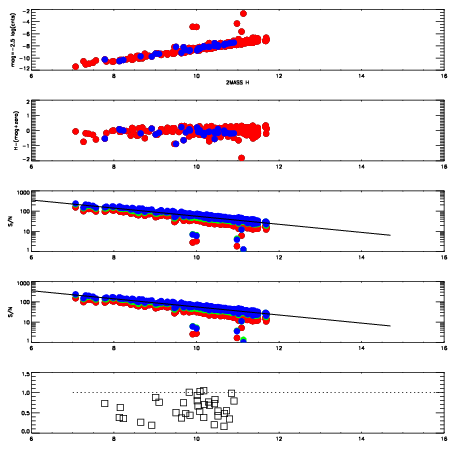
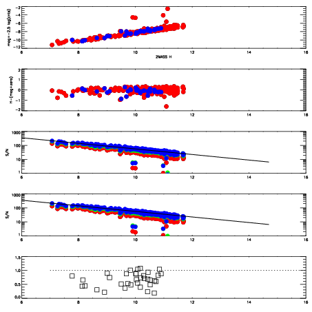
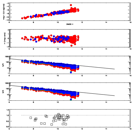
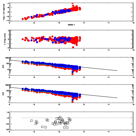
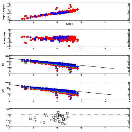
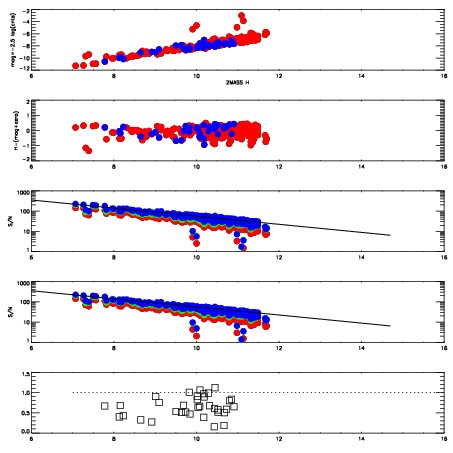
Left plots: red are targets, blue are telluric. Observed mags are calculated from median value of green chip. Zeropoint gives overall throughput: bigger number is more throughput.
First spatial plots: circles are objects, squares are tellurics, crosses are sky fibers. Colors give deviation of observed mag from expected 2MASS mag using the median zeropoint; red is brighter
Second spatial plots: circles are sky fibers. Colors give sky line brightness relative to plate median sky line brightness
FrameNreadsZeropointsMag plots Spatial mag deviation Spatial sky 16325A emission deviations (filled: sky, open: star) Spatial sky continuum emission Spatial sky telluric CO2 absorption deviations (filled: H < 10)
14790011 42
RedGreenBlue
z18.15
znorm14.09
sky 14.8 14.5 14.6
S/N 6.3 11.3 11.4
S/N(c) 13.9 7.5 10.4
SN(E/C) 0.65
14790012 42
RedGreenBlue
z17.98
znorm13.92
sky 15.1 14.7 14.8
S/N 5.8 10.8 10.7
S/N(c) 12.1 6.7 9.1
SN(E/C) 0.72
14790013 42
RedGreenBlue
z17.76
znorm13.70
sky 15.3 15.0 14.9
S/N 7.0 13.2 13.9
S/N(c) 10.0 5.9 8.0
SN(E/C) 0.78
14790014 42
RedGreenBlue
z18.18
znorm14.12
sky 15.0 14.9 14.8
S/N 9.5 16.7 17.7
S/N(c) 13.5 7.4 10.1
SN(E/C) 0.66
14790015 42
RedGreenBlue
z18.55
znorm14.49
sky 14.8 14.8 14.8
S/N 13.6 22.5 22.8
S/N(c) 17.3 9.3 12.3
SN(E/C) 0.63
14790016 42
RedGreenBlue
z18.31
znorm14.25
sky 14.6 14.8 14.7
S/N 11.6 19.7 19.9
S/N(c) 14.9 8.2 10.8
SN(E/C) 0.67