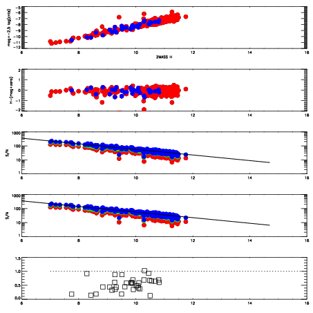
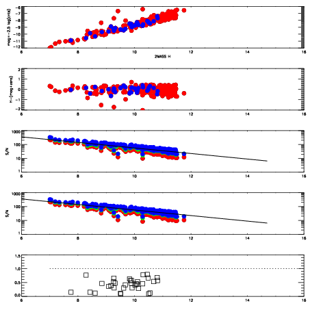
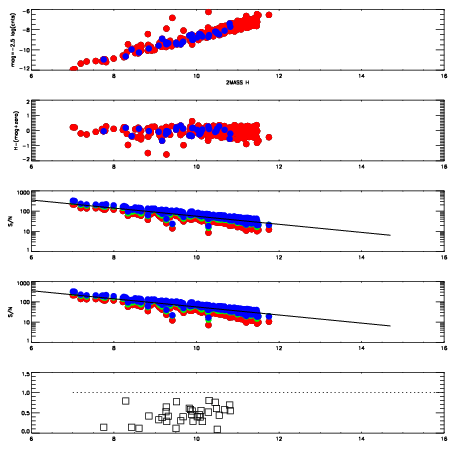
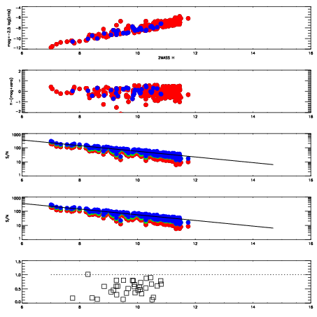
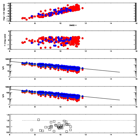
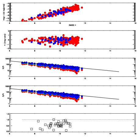
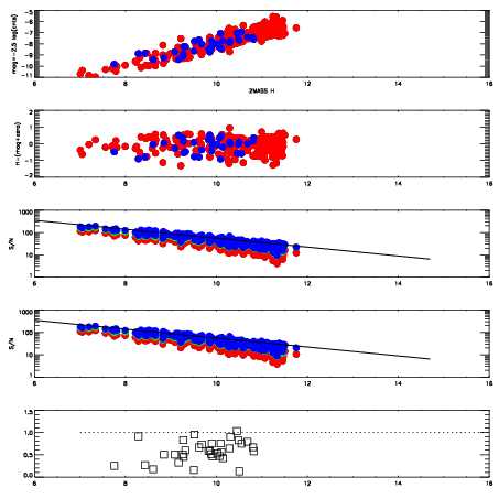
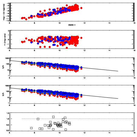
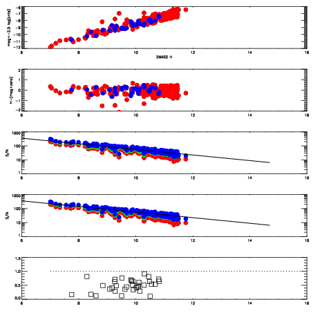
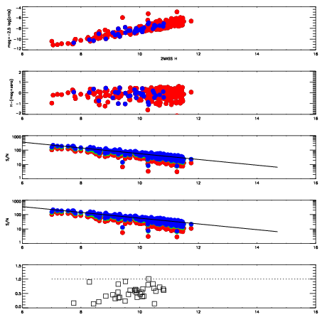
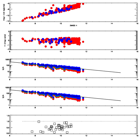
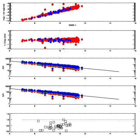
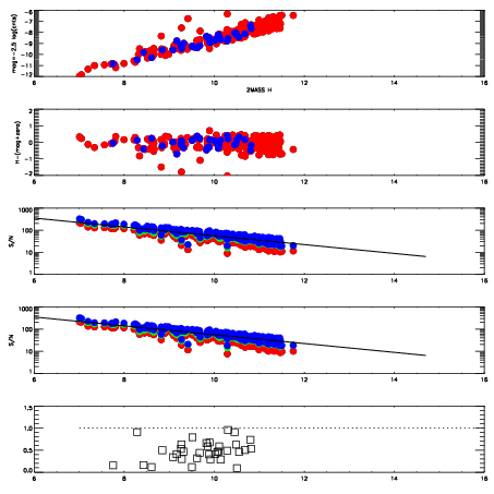
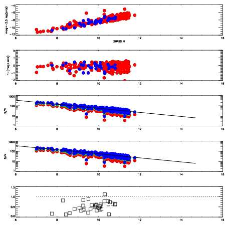
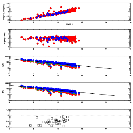
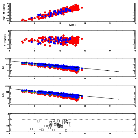
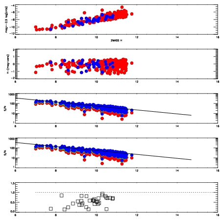
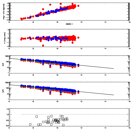
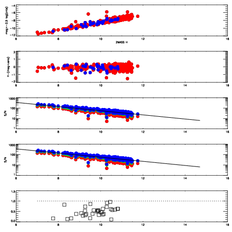
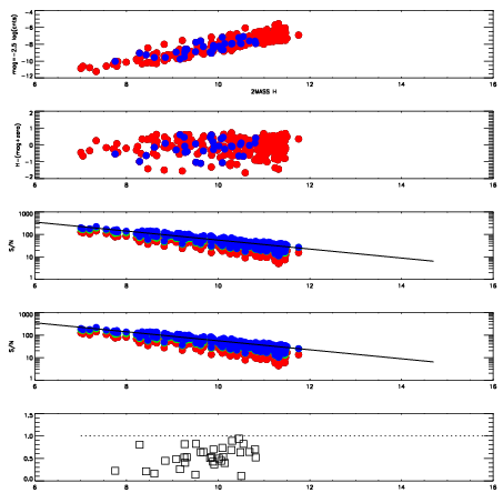
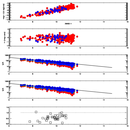
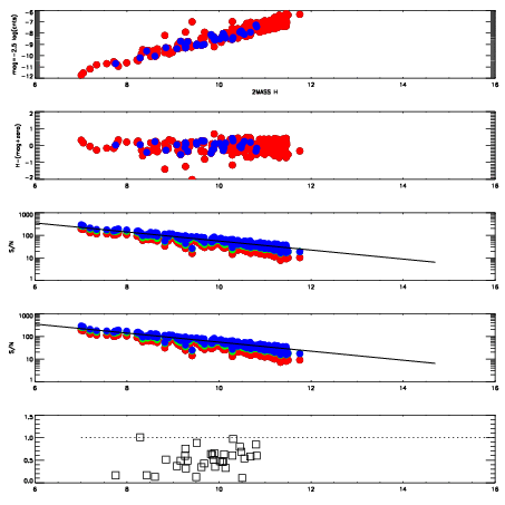
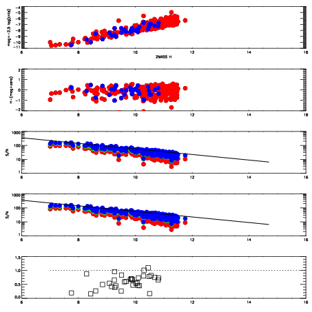
Frame | Nreads | Zeropoints | Mag plots
| Spatial mag deviation
| Spatial sky 16325A emission deviations (filled: sky, open: star)
| Spatial sky continuum emission
| Spatial sky telluric CO2 absorption deviations (filled: H < 10)
|
14800011
| 42
| | Red | Green | Blue
| z | | 18.35
| znorm | | 14.29
| sky | 14.8 | 14.7 | 14.9
| S/N | 8.7 | 15.7 | 15.2
| S/N(c) | 16.9 | 9.5 | 5.6
| SN(E/C) | 0.55
|
|
|
|
|
|
|
14800012
| 42
| | Red | Green | Blue
| z | | 18.29
| znorm | | 14.23
| sky | 14.8 | 15.1 | 15.1
| S/N | 8.1 | 14.6 | 14.1
| S/N(c) | 16.0 | 9.0 | 5.4
| SN(E/C) | 0.58
|
|
|
|
|
|
|
14800013
| 42
| | Red | Green | Blue
| z | | 18.10
| znorm | | 14.04
| sky | 15.5 | 15.3 | 15.4
| S/N | 9.9 | 17.8 | 17.8
| S/N(c) | 12.6 | 7.5 | 4.5
| SN(E/C) | 0.58
|
|
|
|
|
|
|
14800014
| 42
| | Red | Green | Blue
| z | | 18.08
| znorm | | 14.02
| sky | 15.3 | 15.1 | 15.4
| S/N | 10.0 | 17.5 | 17.5
| S/N(c) | 12.5 | 7.6 | 4.5
| SN(E/C) | 0.58
|
|
|
|
|
|
|
14800015
| 42
| | Red | Green | Blue
| z | | 18.75
| znorm | | 14.69
| sky | 14.9 | 14.7 | 15.1
| S/N | 14.1 | 23.2 | 23.7
| S/N(c) | 20.6 | 11.2 | 6.6
| SN(E/C) | 0.45
|
|
|
|
|
|
|
14800016
| 42
| | Red | Green | Blue
| z | | 18.71
| znorm | | 14.65
| sky | 14.9 | 15.0 | 14.9
| S/N | 13.7 | 22.9 | 23.2
| S/N(c) | 20.0 | 11.0 | 6.5
| SN(E/C) | 0.48
|
|
|
|
|
|
|
14800017
| 42
| | Red | Green | Blue
| z | | 18.49
| znorm | | 14.43
| sky | 15.1 | 15.2 | 15.2
| S/N | 9.2 | 16.6 | 16.1
| S/N(c) | 17.8 | 10.0 | 5.9
| SN(E/C) | 0.50
|
|
|
|
|
|
|
14800018
| 42
| | Red | Green | Blue
| z | | 18.42
| znorm | | 14.36
| sky | 14.8 | 15.1 | 15.0
| S/N | 8.4 | 15.5 | 15.4
| S/N(c) | 16.7 | 9.7 | 5.7
| SN(E/C) | 0.51
|
|
|
|
|
|
|
14800019
| 42
| | Red | Green | Blue
| z | | 18.06
| znorm | | 14.00
| sky | 14.8 | 15.6 | 15.5
| S/N | 10.0 | 17.8 | 18.0
| S/N(c) | 12.6 | 7.7 | 4.5
| SN(E/C) | 0.58
|
|
|
|
|
|
|
14800020
| 42
| | Red | Green | Blue
| z | | 18.07
| znorm | | 14.01
| sky | 15.0 | 15.2 | 15.4
| S/N | 9.8 | 17.5 | 17.6
| S/N(c) | 12.6 | 7.7 | 4.5
| SN(E/C) | 0.57
|
|
|
|
|
|
|
14800021
| 42
| | Red | Green | Blue
| z | | 18.35
| znorm | | 14.29
| sky | 15.1 | 15.2 | 15.1
| S/N | 10.9 | 19.0 | 19.2
| S/N(c) | 15.6 | 8.9 | 5.3
| SN(E/C) | 0.57
|
|
|
|
|
|
|
14800022
| 42
| | Red | Green | Blue
| z | | 18.61
| znorm | | 14.55
| sky | 15.2 | 14.9 | 15.1
| S/N | 13.1 | 21.6 | 22.1
| S/N(c) | 18.4 | 10.2 | 6.1
| SN(E/C) | 0.52
|
|
|
|
|
|
|
14800023
| 42
| | Red | Green | Blue
| z | | 18.65
| znorm | | 14.59
| sky | 14.9 | 15.0 | 14.9
| S/N | 9.4 | 16.5 | 16.3
| S/N(c) | 18.9 | 10.8 | 6.3
| SN(E/C) | 0.47
|
|
|
|
|
|
|
14800024
| 42
| | Red | Green | Blue
| z | | 18.69
| znorm | | 14.63
| sky | 14.9 | 14.8 | 14.9
| S/N | 9.9 | 17.4 | 17.1
| S/N(c) | 19.7 | 11.0 | 6.5
| SN(E/C) | 0.45
|
|
|
|
|
|
|
14800025
| 42
| | Red | Green | Blue
| z | | 18.28
| znorm | | 14.22
| sky | 15.1 | 15.2 | 15.2
| S/N | 12.5 | 21.2 | 21.5
| S/N(c) | 14.2 | 8.4 | 4.9
| SN(E/C) | 0.52
|
|
|
|
|
|
|
14800026
| 42
| | Red | Green | Blue
| z | | 18.32
| znorm | | 14.26
| sky | 15.0 | 15.0 | 14.9
| S/N | 12.6 | 21.4 | 21.7
| S/N(c) | 14.4 | 8.5 | 5.0
| SN(E/C) | 0.52
|
|
|
|
|
|
|
14800027
| 42
| | Red | Green | Blue
| z | | 18.46
| znorm | | 14.40
| sky | 15.1 | 14.9 | 15.0
| S/N | 11.4 | 19.8 | 19.9
| S/N(c) | 16.6 | 9.4 | 5.5
| SN(E/C) | 0.56
|
|
|
|
|
|
|
14800028
| 42
| | Red | Green | Blue
| z | | 18.36
| znorm | | 14.30
| sky | 15.3 | 15.1 | 15.0
| S/N | 10.4 | 18.7 | 18.8
| S/N(c) | 15.5 | 8.9 | 5.3
| SN(E/C) | 0.55
|
|
|
|
|
|
|
14800029
| 42
| | Red | Green | Blue
| z | | 18.74
| znorm | | 14.68
| sky | 14.6 | 15.0 | 14.8
| S/N | 10.0 | 17.2 | 16.9
| S/N(c) | 19.6 | 10.9 | 6.5
| SN(E/C) | 0.46
|
|
|
|
|
|
|
14800030
| 42
| | Red | Green | Blue
| z | | 18.73
| znorm | | 14.67
| sky | 14.7 | 14.9 | 14.7
| S/N | 9.3 | 16.6 | 16.2
| S/N(c) | 19.3 | 10.8 | 6.4
| SN(E/C) | 0.47
|
|
|
|
|
|
|
14800031
| 42
| | Red | Green | Blue
| z | | 18.35
| znorm | | 14.30
| sky | 14.9 | 15.0 | 15.1
| S/N | 13.1 | 22.1 | 22.4
| S/N(c) | 14.6 | 8.7 | 5.1
| SN(E/C) | 0.50
|
|
|
|
|
|
|
14800032
| 42
| | Red | Green | Blue
| z | | 18.37
| znorm | | 14.31
| sky | 15.2 | 15.0 | 14.8
| S/N | 13.2 | 21.9 | 22.2
| S/N(c) | 14.5 | 8.6 | 5.1
| SN(E/C) | 0.51
|
|
|
|
|
|
|
14800033
| 42
| | Red | Green | Blue
| z | | 18.14
| znorm | | 14.08
| sky | 15.0 | 15.0 | 14.9
| S/N | 9.5 | 17.0 | 17.0
| S/N(c) | 13.6 | 8.1 | 4.6
| SN(E/C) | 0.58
|
|
|
|
|
|
|
14800034
| 42
| | Red | Green | Blue
| z | | 17.93
| znorm | | 13.87
| sky | 14.9 | 14.9 | 15.0
| S/N | 8.5 | 15.4 | 15.6
| S/N(c) | 11.7 | 7.1 | 4.1
| SN(E/C) | 0.65
|
|
|
|
|
|
|