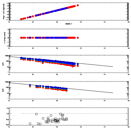
Left plots: red are targets, blue are telluric. Observed mags are calculated from median value of green chip. Zeropoint gives overall throughput: bigger number is more throughput.
First spatial plots: circles are objects, squares are tellurics, crosses are sky fibers. Colors give deviation of observed mag from expected 2MASS mag using the median zeropoint; red is brighter
Second spatial plots: circles are sky fibers. Colors give sky line brightness relative to plate median sky line brightness
FrameNreadsZeropointsMag plots Spatial mag deviation Spatial sky 16325A emission deviations (filled: sky, open: star) Spatial sky continuum emission Spatial sky telluric CO2 absorption deviations (filled: H < 10)
0 0
RedGreenBlue
z17.64
znorm Inf
sky -Inf -NaN -NaN
S/N 12.4 24.3 24.1
S/N(c) 0.0 0.0 0.0
SN(E/C) 0.46

IPAIRNAMESHIFTNEWSHIFTS/N NAMESHIFTNEWSHIFTS/N
0 14810019 0.500792 0.00000 17.7845 14810020 -2.87389e-05 0.500821 17.8203
1 14810022 0.500064 0.000728011 18.3018 14810021 1.47457e-05 0.500777 18.0640
2 14810018 0.498831 0.00196102 18.0105 14810017 0.00000 0.500792 17.9514