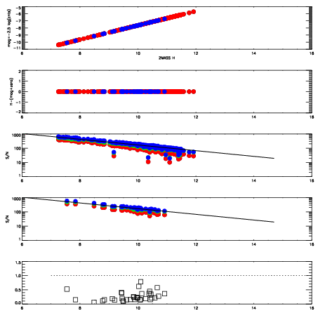
Left plots: red are targets, blue are telluric. Observed mags are calculated from median value of green chip. Zeropoint gives overall throughput: bigger number is more throughput.
First spatial plots: circles are objects, squares are tellurics, crosses are sky fibers. Colors give deviation of observed mag from expected 2MASS mag using the median zeropoint; red is brighter
Second spatial plots: circles are sky fibers. Colors give sky line brightness relative to plate median sky line brightness
FrameNreadsZeropointsMag plots Spatial mag deviation Spatial sky 16325A emission deviations (filled: sky, open: star) Spatial sky continuum emission Spatial sky telluric CO2 absorption deviations (filled: H < 10)
0 0
RedGreenBlue
z17.64
znorm Inf
sky -Inf -Inf -NaN
S/N 26.4 47.0 47.9
S/N(c) 0.0 0.0 0.0
SN(E/C) 0.21

IPAIRNAMESHIFTNEWSHIFTS/N NAMESHIFTNEWSHIFTS/N
0 14770040 0.501070 0.00000 18.4748 14770041 0.00380730 0.497263 18.4581
1 14770039 0.499106 0.00196403 18.6733 14770033 0.000108995 0.500961 18.7216
2 14770032 0.497010 0.00406003 18.6575 14770038 0.00139265 0.499677 18.6687
3 14770027 0.496456 0.00461403 18.4810 14770030 -0.000319834 0.501390 18.5775
4 14770035 0.497896 0.00317404 18.4001 14770034 0.000920308 0.500150 18.4276
5 14770031 0.496297 0.00477302 18.3805 14770026 0.00000 0.501070 18.4130
6 14770036 0.498392 0.00267804 18.2385 14770029 -0.000222815 0.501293 18.2530
7 14770028 0.497257 0.00381303 18.1542 14770037 0.00260621 0.498464 18.1368
8 14770043 0.500676 0.000394046 17.8415 14770042 0.00417242 0.496898 17.7710