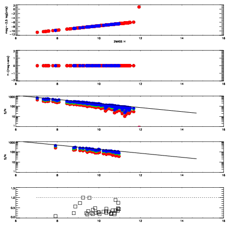
Left plots: red are targets, blue are telluric. Observed mags are calculated from median value of green chip. Zeropoint gives overall throughput: bigger number is more throughput.
First spatial plots: circles are objects, squares are tellurics, crosses are sky fibers. Colors give deviation of observed mag from expected 2MASS mag using the median zeropoint; red is brighter
Second spatial plots: circles are sky fibers. Colors give sky line brightness relative to plate median sky line brightness
FrameNreadsZeropointsMag plots Spatial mag deviation Spatial sky 16325A emission deviations (filled: sky, open: star) Spatial sky continuum emission Spatial sky telluric CO2 absorption deviations (filled: H < 10)
0 0
RedGreenBlue
z17.64
znorm Inf
sky -Inf -Inf -Inf
S/N 0.7 0.5 0.7
S/N(c) 0.0 0.0 0.0
SN(E/C) 0.31

IPAIRNAMESHIFTNEWSHIFTS/N NAMESHIFTNEWSHIFTS/N
0 14850013 0.498936 0.00000 17.6093 14850018 -0.00267044 0.501606 17.6885
1 14850029 0.496023 0.00291300 18.1247 14850015 -0.00276328 0.501699 18.1571
2 14850030 0.496971 0.00196499 18.1000 14850028 -0.00263605 0.501572 18.0822
3 14850021 0.496166 0.00277001 18.0517 14850031 -0.00202159 0.500958 18.0724
4 14850016 0.495569 0.00336701 18.0219 14850022 -0.00131016 0.500246 17.9956
5 14850025 0.497105 0.00183100 17.9823 14850026 -0.00281157 0.501748 17.9822
6 14850033 0.496152 0.00278398 17.9263 14850032 -0.00303236 0.501968 17.9814
7 14850024 0.496147 0.00278899 17.7576 14850014 -0.00198191 0.500918 17.8625
8 14850020 0.496134 0.00280198 17.7207 14850023 -0.00187479 0.500811 17.7003
9 14850017 0.495761 0.00317499 17.5955 14850019 -0.00232903 0.501265 17.6756
10 14850012 0.497928 0.00100800 17.4861 14850011 0.00000 0.498936 17.5447