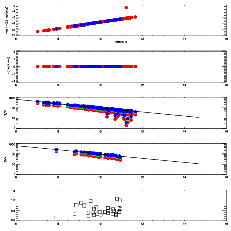
Left plots: red are targets, blue are telluric. Observed mags are calculated from median value of green chip. Zeropoint gives overall throughput: bigger number is more throughput.
First spatial plots: circles are objects, squares are tellurics, crosses are sky fibers. Colors give deviation of observed mag from expected 2MASS mag using the median zeropoint; red is brighter
Second spatial plots: circles are sky fibers. Colors give sky line brightness relative to plate median sky line brightness
FrameNreadsZeropointsMag plots Spatial mag deviation Spatial sky 16325A emission deviations (filled: sky, open: star) Spatial sky continuum emission Spatial sky telluric CO2 absorption deviations (filled: H < 10)
0 0
RedGreenBlue
z17.64
znorm Inf
sky -Inf -NaN -Inf
S/N 0.1 -0.0 -0.0
S/N(c) 0.0 0.0 0.0
SN(E/C) 0.46

IPAIRNAMESHIFTNEWSHIFTS/N NAMESHIFTNEWSHIFTS/N
0 15090017 0.499432 0.00000 18.2502 15090018 -0.00167451 0.501107 18.2068
1 15090020 0.498659 0.000772983 18.2637 15090019 -0.00171392 0.501146 18.2800
2 15090016 0.498940 0.000492007 18.1782 15090015 0.00000 0.499432 18.1840