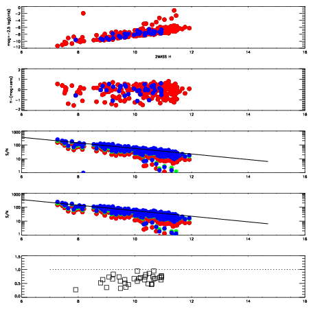
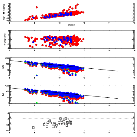
Frame | Nreads | Zeropoints | Mag plots
| Spatial mag deviation
| Spatial sky 16325A emission deviations (filled: sky, open: star)
| Spatial sky continuum emission
| Spatial sky telluric CO2 absorption deviations (filled: H < 10)
|
14790022
| 42
| | Red | Green | Blue
| z | | 18.46
| znorm | | 14.40
| sky | 14.9 | 14.6 | 14.6
| S/N | 13.6 | 22.4 | 22.1
| S/N(c) | 16.7 | 16.7 | 6.2
| SN(E/C) | 0.56
|
|
|
|
|
|
|
14790023
| 42
| | Red | Green | Blue
| z | | 18.37
| znorm | | 14.31
| sky | 14.9 | 14.9 | 14.9
| S/N | 12.3 | 21.2 | 20.8
| S/N(c) | 15.5 | 15.7 | 5.9
| SN(E/C) | 0.57
|
|
|
|
|
|
|
14790024
| 42
| | Red | Green | Blue
| z | | 18.33
| znorm | | 14.27
| sky | 14.6 | 14.8 | 14.8
| S/N | 14.1 | 23.0 | 22.7
| S/N(c) | 15.3 | 15.4 | 5.8
| SN(E/C) | 0.62
|
|
|
|
|
|
|
14790025
| 42
| | Red | Green | Blue
| z | | 18.35
| znorm | | 14.29
| sky | 14.9 | 14.8 | 14.7
| S/N | 14.2 | 23.3 | 22.9
| S/N(c) | 15.2 | 15.7 | 5.8
| SN(E/C) | 0.62
|
|
|
|
|
|
|
14790026
| 42
| | Red | Green | Blue
| z | | 18.10
| znorm | | 14.04
| sky | 14.9 | 14.9 | 14.7
| S/N | 8.3 | 13.7 | 16.1
| S/N(c) | 12.8 | 13.7 | 5.0
| SN(E/C) | 0.66
|
|
|
|
|
|
|
14790027
| 42
| | Red | Green | Blue
| z | | 18.07
| znorm | | 14.01
| sky | 15.0 | 14.9 | 14.7
| S/N | 7.9 | 13.8 | 16.0
| S/N(c) | 12.6 | 13.4 | 4.9
| SN(E/C) | 0.66
|
|
|
|
|
|
|
14790028
| 42
| | Red | Green | Blue
| z | | 18.58
| znorm | | 14.52
| sky | 14.9 | 14.6 | 14.5
| S/N | 14.3 | 23.5 | 23.1
| S/N(c) | 17.4 | 17.9 | 6.6
| SN(E/C) | 0.53
|
|
|
|
|
|
|
14790029
| 42
| | Red | Green | Blue
| z | | 18.52
| znorm | | 14.46
| sky | 14.9 | 14.7 | 14.7
| S/N | 13.6 | 22.8 | 22.5
| S/N(c) | 17.0 | 17.4 | 6.4
| SN(E/C) | 0.55
|
|
|
|
|
|
|
14790030
| 42
| | Red | Green | Blue
| z | | 18.39
| znorm | | 14.34
| sky | 14.9 | 15.0 | 14.8
| S/N | 14.6 | 24.1 | 23.7
| S/N(c) | 15.4 | 16.0 | 5.9
| SN(E/C) | 0.59
|
|
|
|
|
|
|
14790031
| 42
| | Red | Green | Blue
| z | | 18.49
| znorm | | 14.43
| sky | 14.6 | 14.8 | 14.8
| S/N | 15.9 | 25.5 | 25.4
| S/N(c) | 16.4 | 16.8 | 6.2
| SN(E/C) | 0.59
|
|
|
|
|
|
|
14790032
| 42
| | Red | Green | Blue
| z | | 17.84
| znorm | | 13.78
| sky | 14.8 | 14.8 | 14.8
| S/N | 7.5 | 12.9 | 14.9
| S/N(c) | 9.8 | 11.0 | 4.1
| SN(E/C) | 0.71
|
|
|
|
|
|
|
14790033
| 42
| | Red | Green | Blue
| z | | 17.69
| znorm | | 13.63
| sky | 15.0 | 15.0 | 15.0
| S/N | 6.8 | 12.1 | 14.1
| S/N(c) | 9.0 | 10.3 | 3.9
| SN(E/C) | 0.71
|
|
|
|
|
|
|