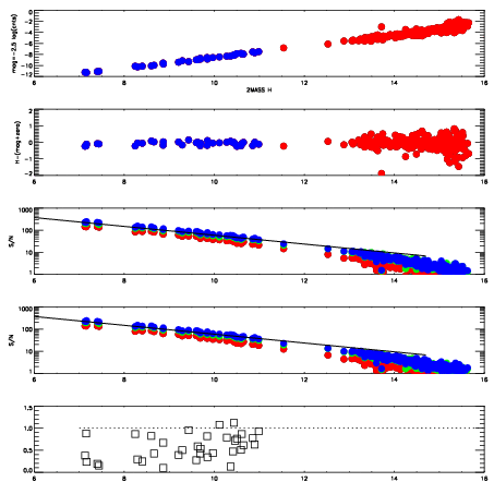
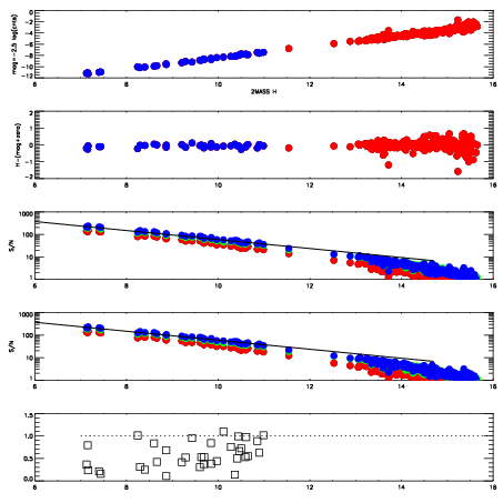
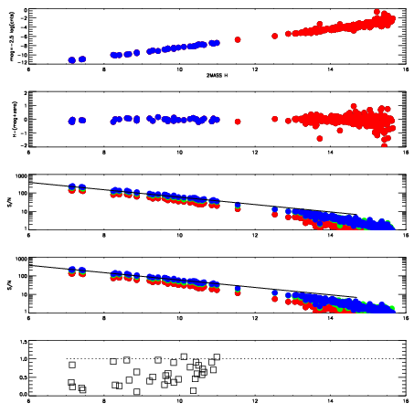
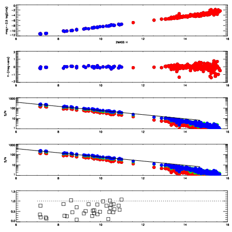
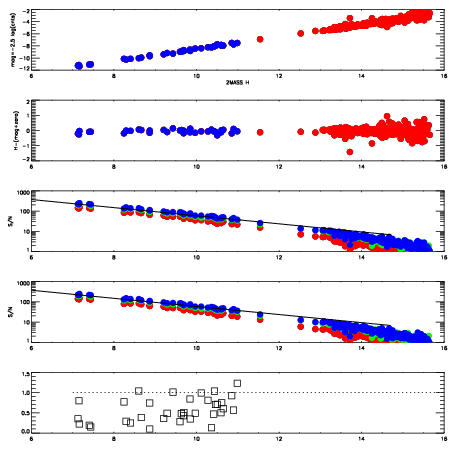
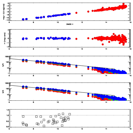
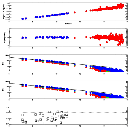
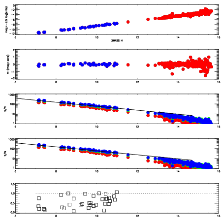
Frame | Nreads | Zeropoints | Mag plots
| Spatial mag deviation
| Spatial sky 16325A emission deviations (filled: sky, open: star)
| Spatial sky continuum emission
| Spatial sky telluric CO2 absorption deviations (filled: H < 10)
|
14750022
| 47
| | Red | Green | Blue
| z | | 18.58
| znorm | | 14.40
| sky | 14.6 | 14.3 | 14.1
| S/N | 10.7 | 15.3 | 17.9
| S/N(c) | 3.8 | 15.3 | 22.7
| SN(E/C) | 0.53
|
|
|
|
|
|
|
14750023
| 47
| | Red | Green | Blue
| z | | 18.33
| znorm | | 14.15
| sky | 14.7 | 14.3 | 14.2
| S/N | 9.7 | 14.1 | 16.6
| S/N(c) | 3.4 | 14.0 | 20.7
| SN(E/C) | 0.54
|
|
|
|
|
|
|
14750024
| 47
| | Red | Green | Blue
| z | | 18.43
| znorm | | 14.25
| sky | 14.8 | 14.4 | 14.3
| S/N | 9.9 | 14.6 | 17.0
| S/N(c) | 3.6 | 14.7 | 21.7
| SN(E/C) | 0.57
|
|
|
|
|
|
|
14750025
| 47
| | Red | Green | Blue
| z | | 18.44
| znorm | | 14.26
| sky | 14.7 | 14.4 | 14.4
| S/N | 10.5 | 15.1 | 17.6
| S/N(c) | 3.7 | 14.7 | 21.7
| SN(E/C) | 0.54
|
|
|
|
|
|
|
14750026
| 47
| | Red | Green | Blue
| z | | 18.48
| znorm | | 14.30
| sky | 15.0 | 14.6 | 14.4
| S/N | 10.3 | 15.1 | 17.5
| S/N(c) | 3.7 | 14.9 | 22.0
| SN(E/C) | 0.53
|
|
|
|
|
|
|
14750027
| 47
| | Red | Green | Blue
| z | | 18.49
| znorm | | 14.31
| sky | 14.9 | 14.5 | 14.4
| S/N | 10.9 | 15.8 | 18.1
| S/N(c) | 3.8 | 15.2 | 22.3
| SN(E/C) | 0.54
|
|
|
|
|
|
|
14750028
| 47
| | Red | Green | Blue
| z | | 18.55
| znorm | | 14.37
| sky | 15.0 | 14.5 | 14.5
| S/N | 11.4 | 16.2 | 19.0
| S/N(c) | 3.8 | 15.4 | 22.8
| SN(E/C) | 0.50
|
|
|
|
|
|
|
14750029
| 47
| | Red | Green | Blue
| z | | 18.55
| znorm | | 14.37
| sky | 15.1 | 14.6 | 14.5
| S/N | 11.4 | 16.5 | 19.2
| S/N(c) | 3.9 | 15.8 | 23.4
| SN(E/C) | 0.51
|
|
|
|
|
|
|