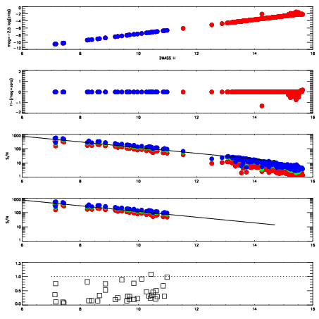
Left plots: red are targets, blue are telluric. Observed mags are calculated from median value of green chip. Zeropoint gives overall throughput: bigger number is more throughput.
First spatial plots: circles are objects, squares are tellurics, crosses are sky fibers. Colors give deviation of observed mag from expected 2MASS mag using the median zeropoint; red is brighter
Second spatial plots: circles are sky fibers. Colors give sky line brightness relative to plate median sky line brightness
FrameNreadsZeropointsMag plots Spatial mag deviation Spatial sky 16325A emission deviations (filled: sky, open: star) Spatial sky continuum emission Spatial sky telluric CO2 absorption deviations (filled: H < 10)
0 0
RedGreenBlue
z17.65
znorm Inf
sky -Inf -Inf -Inf
S/N 27.4 41.1 49.1
S/N(c) 58.3 14.1 61.1
SN(E/C) 0.31

IPAIRNAMESHIFTNEWSHIFTS/N NAMESHIFTNEWSHIFTS/N
0 14990058 0.00142270 0.00000 18.8911 14990055 -0.497458 0.498881 18.9528
1 14990057 0.00107465 0.000348050 18.9745 14990059 -0.500905 0.502328 19.0469
2 14990061 -0.00307500 0.00449770 18.9473 14990056 -0.497866 0.499289 18.9538
3 14990054 0.00000 0.00142270 18.8445 14990060 -0.500331 0.501754 18.9468