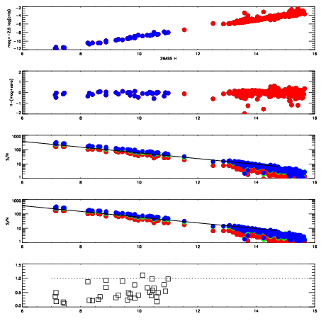
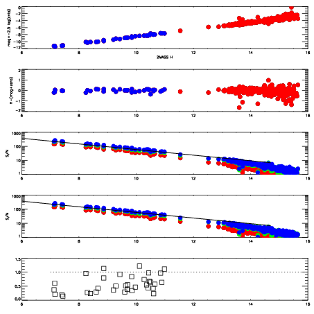
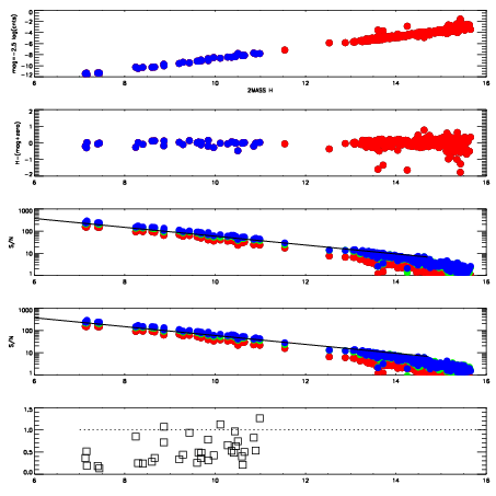
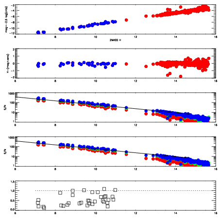
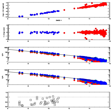
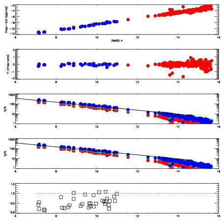
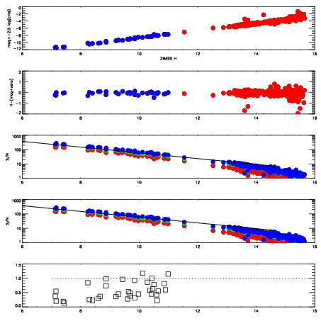
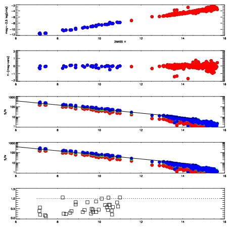
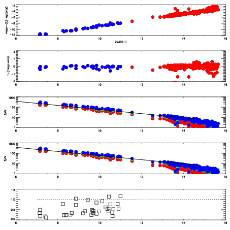
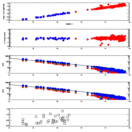
Frame | Nreads | Zeropoints | Mag plots
| Spatial mag deviation
| Spatial sky 16325A emission deviations (filled: sky, open: star)
| Spatial sky continuum emission
| Spatial sky telluric CO2 absorption deviations (filled: H < 10)
|
15200022
| 47
| | Red | Green | Blue
| z | | 18.80
| znorm | | 14.62
| sky | 14.9 | 14.8 | 15.0
| S/N | 12.6 | 17.6 | 21.2
| S/N(c) | 28.6 | 7.3 | 18.0
| SN(E/C) | 0.48
|
|
|
|
|
|
|
15200023
| 47
| | Red | Green | Blue
| z | | 18.56
| znorm | | 14.38
| sky | 15.5 | 14.9 | 15.3
| S/N | 10.9 | 16.0 | 19.3
| S/N(c) | 25.8 | 6.7 | 16.3
| SN(E/C) | 0.51
|
|
|
|
|
|
|
15200024
| 47
| | Red | Green | Blue
| z | | 18.64
| znorm | | 14.46
| sky | 15.0 | 15.0 | 15.1
| S/N | 11.4 | 16.7 | 19.5
| S/N(c) | 26.6 | 6.9 | 16.7
| SN(E/C) | 0.49
|
|
|
|
|
|
|
15200025
| 47
| | Red | Green | Blue
| z | | 18.71
| znorm | | 14.53
| sky | 15.0 | 14.9 | 15.1
| S/N | 12.0 | 17.3 | 20.7
| S/N(c) | 27.5 | 7.1 | 17.4
| SN(E/C) | 0.48
|
|
|
|
|
|
|
15200026
| 47
| | Red | Green | Blue
| z | | 18.78
| znorm | | 14.60
| sky | 15.5 | 15.5 | 15.0
| S/N | 12.3 | 17.7 | 21.0
| S/N(c) | 28.1 | 7.2 | 17.5
| SN(E/C) | 0.51
|
|
|
|
|
|
|
15200027
| 47
| | Red | Green | Blue
| z | | 18.74
| znorm | | 14.56
| sky | 15.3 | 15.1 | 15.2
| S/N | 12.4 | 17.8 | 21.3
| S/N(c) | 28.0 | 7.2 | 17.7
| SN(E/C) | 0.45
|
|
|
|
|
|
|
15200028
| 47
| | Red | Green | Blue
| z | | 18.76
| znorm | | 14.58
| sky | 15.2 | 15.1 | 15.2
| S/N | 12.8 | 18.2 | 21.7
| S/N(c) | 28.9 | 7.4 | 18.1
| SN(E/C) | 0.48
|
|
|
|
|
|
|
15200029
| 47
| | Red | Green | Blue
| z | | 18.84
| znorm | | 14.66
| sky | 15.2 | 15.1 | 15.2
| S/N | 13.1 | 18.8 | 22.7
| S/N(c) | 29.8 | 7.6 | 18.6
| SN(E/C) | 0.48
|
|
|
|
|
|
|
15200030
| 47
| | Red | Green | Blue
| z | | 19.00
| znorm | | 14.82
| sky | 15.4 | 15.3 | 15.1
| S/N | 14.1 | 19.9 | 23.9
| S/N(c) | 32.0 | 8.1 | 19.8
| SN(E/C) | 0.43
|
|
|
|
|
|
|
15200031
| 47
| | Red | Green | Blue
| z | | 19.02
| znorm | | 14.84
| sky | 15.3 | 15.2 | 15.1
| S/N | 14.3 | 20.1 | 24.3
| S/N(c) | 32.3 | 8.2 | 20.2
| SN(E/C) | 0.44
|
|
|
|
|
|
|