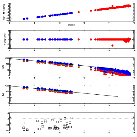
Left plots: red are targets, blue are telluric. Observed mags are calculated from median value of green chip. Zeropoint gives overall throughput: bigger number is more throughput.
First spatial plots: circles are objects, squares are tellurics, crosses are sky fibers. Colors give deviation of observed mag from expected 2MASS mag using the median zeropoint; red is brighter
Second spatial plots: circles are sky fibers. Colors give sky line brightness relative to plate median sky line brightness
FrameNreadsZeropointsMag plots Spatial mag deviation Spatial sky 16325A emission deviations (filled: sky, open: star) Spatial sky continuum emission Spatial sky telluric CO2 absorption deviations (filled: H < 10)
0 0
RedGreenBlue
z17.63
znorm Inf
sky -Inf -NaN -NaN
S/N 22.7 35.3 43.0
S/N(c) 16.5 12.7 52.3
SN(E/C) 0.35

IPAIRNAMESHIFTNEWSHIFTS/N NAMESHIFTNEWSHIFTS/N
0 15250076 0.509751 0.00000 18.8424 15250073 0.00109233 0.508659 18.8410
1 15250072 0.508386 0.00136501 18.7822 15250077 0.00141781 0.508333 18.7984
2 15250075 0.509314 0.000437021 18.7675 15250074 0.00117687 0.508574 18.7834
3 15250071 0.507735 0.00201601 18.7124 15250070 0.00000 0.509751 18.6566