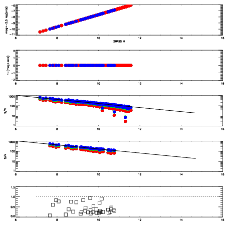
Left plots: red are targets, blue are telluric. Observed mags are calculated from median value of green chip. Zeropoint gives overall throughput: bigger number is more throughput.
First spatial plots: circles are objects, squares are tellurics, crosses are sky fibers. Colors give deviation of observed mag from expected 2MASS mag using the median zeropoint; red is brighter
Second spatial plots: circles are sky fibers. Colors give sky line brightness relative to plate median sky line brightness
FrameNreadsZeropointsMag plots Spatial mag deviation Spatial sky 16325A emission deviations (filled: sky, open: star) Spatial sky continuum emission Spatial sky telluric CO2 absorption deviations (filled: H < 10)
0 0
RedGreenBlue
z17.64
znorm Inf
sky -Inf -Inf -Inf
S/N 27.2 50.0 55.0
S/N(c) 0.0 0.0 0.0
SN(E/C) 0.34

IPAIRNAMESHIFTNEWSHIFTS/N NAMESHIFTNEWSHIFTS/N
0 15980055 0.00376030 0.00000 17.7126 15980056 -0.483330 0.487090 17.6810
1 15980042 0.00144236 0.00231794 18.5488 15980041 -0.487138 0.490898 18.5520
2 15980054 0.00269664 0.00106366 18.5300 15980053 -0.484880 0.488640 18.4922
3 15980051 0.00148264 0.00227766 18.5250 15980040 -0.488415 0.492175 18.4299
4 15980039 0.00000 0.00376030 18.4026 15980052 -0.483870 0.487630 18.3787
5 15980047 0.00313349 0.000626810 18.3886 15980045 -0.487537 0.491297 18.3334
6 15980046 0.00209325 0.00166705 18.2315 15980048 -0.485487 0.489247 18.3085
7 15980043 0.00256261 0.00119769 18.2013 15980044 -0.487945 0.491705 18.1564
8 15980050 0.00242484 0.00133546 17.8972 15980049 -0.487266 0.491026 17.8720