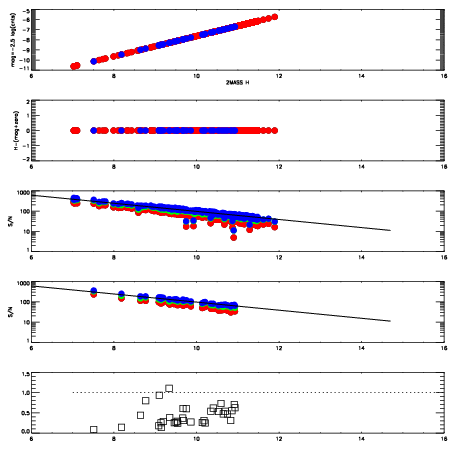
Left plots: red are targets, blue are telluric. Observed mags are calculated from median value of green chip. Zeropoint gives overall throughput: bigger number is more throughput.
First spatial plots: circles are objects, squares are tellurics, crosses are sky fibers. Colors give deviation of observed mag from expected 2MASS mag using the median zeropoint; red is brighter
Second spatial plots: circles are sky fibers. Colors give sky line brightness relative to plate median sky line brightness
FrameNreadsZeropointsMag plots Spatial mag deviation Spatial sky 16325A emission deviations (filled: sky, open: star) Spatial sky continuum emission Spatial sky telluric CO2 absorption deviations (filled: H < 10)
0 0
RedGreenBlue
z17.64
znorm Inf
sky -Inf -NaN -NaN
S/N 20.4 35.4 36.6
S/N(c) 0.0 0.0 0.0
SN(E/C) 0.38

IPAIRNAMESHIFTNEWSHIFTS/N NAMESHIFTNEWSHIFTS/N
0 15870012 0.489978 0.00000 18.1178 15870010 0.00000 0.489978 18.1093
1 15870015 0.488444 0.00153399 18.7606 15870014 5.70755e-07 0.489977 18.7179
2 15870011 0.489280 0.000698000 18.1262 15870013 0.00130147 0.488677 18.1302