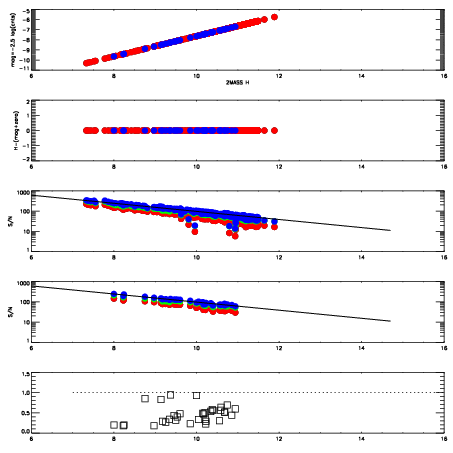
Left plots: red are targets, blue are telluric. Observed mags are calculated from median value of green chip. Zeropoint gives overall throughput: bigger number is more throughput.
First spatial plots: circles are objects, squares are tellurics, crosses are sky fibers. Colors give deviation of observed mag from expected 2MASS mag using the median zeropoint; red is brighter
Second spatial plots: circles are sky fibers. Colors give sky line brightness relative to plate median sky line brightness
FrameNreadsZeropointsMag plots Spatial mag deviation Spatial sky 16325A emission deviations (filled: sky, open: star) Spatial sky continuum emission Spatial sky telluric CO2 absorption deviations (filled: H < 10)
0 0
RedGreenBlue
z17.64
znorm Inf
sky -Inf -Inf -Inf
S/N 14.3 27.2 26.8
S/N(c) 0.0 0.0 0.0
SN(E/C) 0.47

IPAIRNAMESHIFTNEWSHIFTS/N NAMESHIFTNEWSHIFTS/N
0 15050042 0.00721693 0.00000 18.1788 15050040 -0.493138 0.500355 18.3780
1 15050041 0.00707921 0.000137720 18.4980 15050039 -0.493607 0.500824 18.4154
2 15050038 0.00000 0.00721693 18.0787 15050043 -0.492002 0.499219 18.0980