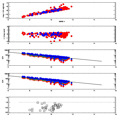
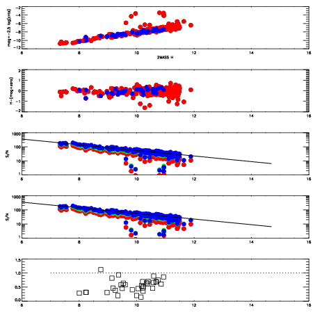
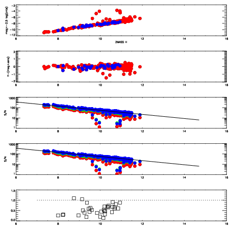
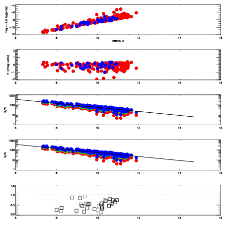
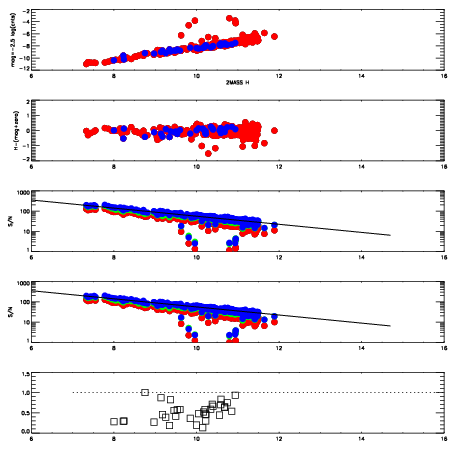
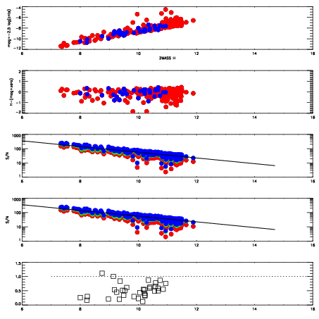
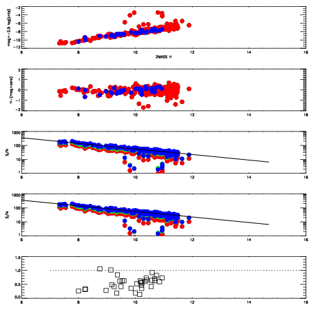
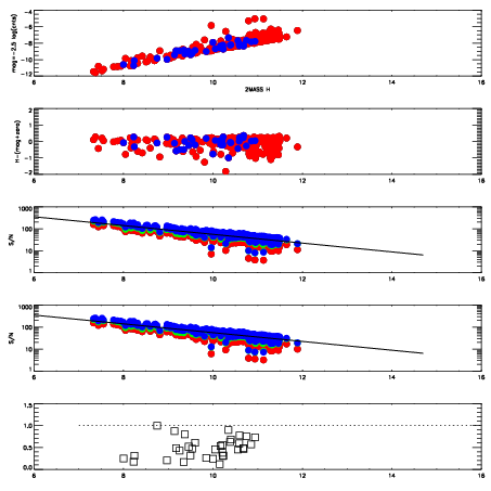
Frame | Nreads | Zeropoints | Mag plots
| Spatial mag deviation
| Spatial sky 16325A emission deviations (filled: sky, open: star)
| Spatial sky continuum emission
| Spatial sky telluric CO2 absorption deviations (filled: H < 10)
|
15090026
| 42
| | Red | Green | Blue
| z | | 18.48
| znorm | | 14.43
| sky | 14.9 | 14.7 | 14.9
| S/N | 8.3 | 15.6 | 15.8
| S/N(c) | 10.0 | 14.6 | 20.3
| SN(E/C) | 0.53
|
|
|
|
|
|
|
15090027
| 42
| | Red | Green | Blue
| z | | 18.48
| znorm | | 14.42
| sky | 15.0 | 15.1 | 15.1
| S/N | 7.8 | 14.4 | 14.6
| S/N(c) | 9.6 | 14.4 | 19.9
| SN(E/C) | 0.49
|
|
|
|
|
|
|
15090028
| 42
| | Red | Green | Blue
| z | | 18.26
| znorm | | 14.20
| sky | 15.1 | 15.1 | 15.1
| S/N | 7.8 | 15.3 | 15.1
| S/N(c) | 8.4 | 12.9 | 17.8
| SN(E/C) | 0.57
|
|
|
|
|
|
|
15090029
| 42
| | Red | Green | Blue
| z | | 18.25
| znorm | | 14.19
| sky | 15.1 | 15.2 | 15.2
| S/N | 7.7 | 14.8 | 14.8
| S/N(c) | 8.5 | 13.0 | 18.4
| SN(E/C) | 0.54
|
|
|
|
|
|
|
15090030
| 42
| | Red | Green | Blue
| z | | 18.31
| znorm | | 14.25
| sky | 15.0 | 15.1 | 15.1
| S/N | 9.5 | 17.4 | 17.6
| S/N(c) | 8.9 | 13.7 | 19.0
| SN(E/C) | 0.53
|
|
|
|
|
|
|
15090031
| 42
| | Red | Green | Blue
| z | | 18.35
| znorm | | 14.29
| sky | 15.0 | 15.2 | 15.2
| S/N | 9.7 | 18.0 | 18.1
| S/N(c) | 8.9 | 13.7 | 19.2
| SN(E/C) | 0.54
|
|
|
|
|
|
|
15090032
| 42
| | Red | Green | Blue
| z | | 18.54
| znorm | | 14.49
| sky | 15.1 | 15.1 | 15.1
| S/N | 8.9 | 16.5 | 16.3
| S/N(c) | 9.9 | 14.8 | 20.7
| SN(E/C) | 0.51
|
|
|
|
|
|
|
15090033
| 42
| | Red | Green | Blue
| z | | 18.68
| znorm | | 14.62
| sky | 14.7 | 15.0 | 15.0
| S/N | 9.8 | 17.9 | 18.2
| S/N(c) | 10.6 | 15.7 | 22.0
| SN(E/C) | 0.48
|
|
|
|
|
|
|
15090034
| 42
| | Red | Green | Blue
| z | | 18.40
| znorm | | 14.34
| sky | 15.3 | 15.3 | 15.0
| S/N | 7.9 | 15.0 | 15.0
| S/N(c) | 9.4 | 14.1 | 19.8
| SN(E/C) | 0.54
|
|
|
|
|
|
|
15090035
| 42
| | Red | Green | Blue
| z | | 18.40
| znorm | | 14.34
| sky | 15.3 | 15.0 | 15.1
| S/N | 8.0 | 15.3 | 15.3
| S/N(c) | 9.5 | 14.3 | 20.1
| SN(E/C) | 0.55
|
|
|
|
|
|
|
15090036
| 42
| | Red | Green | Blue
| z | | 18.20
| znorm | | 14.14
| sky | 15.0 | 15.2 | 14.9
| S/N | 9.5 | 17.3 | 17.6
| S/N(c) | 8.3 | 12.9 | 17.8
| SN(E/C) | 0.58
|
|
|
|
|
|
|
15090037
| 42
| | Red | Green | Blue
| z | | 18.27
| znorm | | 14.21
| sky | 15.3 | 15.3 | 15.1
| S/N | 10.0 | 18.1 | 18.4
| S/N(c) | 8.4 | 13.5 | 18.3
| SN(E/C) | 0.59
|
|
|
|
|
|
|
15090038
| 42
| | Red | Green | Blue
| z | | 18.51
| znorm | | 14.45
| sky | 15.4 | 15.3 | 15.0
| S/N | 8.4 | 16.2 | 16.1
| S/N(c) | 10.2 | 14.8 | 21.1
| SN(E/C) | 0.54
|
|
|
|
|
|
|
15090039
| 42
| | Red | Green | Blue
| z | | 18.47
| znorm | | 14.42
| sky | 14.9 | 15.1 | 15.0
| S/N | 8.1 | 15.5 | 15.6
| S/N(c) | 9.9 | 14.4 | 20.2
| SN(E/C) | 0.52
|
|
|
|
|
|
|
15090040
| 42
| | Red | Green | Blue
| z | | 18.65
| znorm | | 14.59
| sky | 15.2 | 15.3 | 14.9
| S/N | 10.8 | 19.2 | 19.8
| S/N(c) | 10.4 | 15.5 | 21.5
| SN(E/C) | 0.48
|
|
|
|
|
|
|
15090041
| 42
| | Red | Green | Blue
| z | | 18.60
| znorm | | 14.54
| sky | 15.0 | 15.1 | 14.9
| S/N | 10.7 | 19.0 | 19.3
| S/N(c) | 10.2 | 15.1 | 21.0
| SN(E/C) | 0.51
|
|
|
|
|
|
|