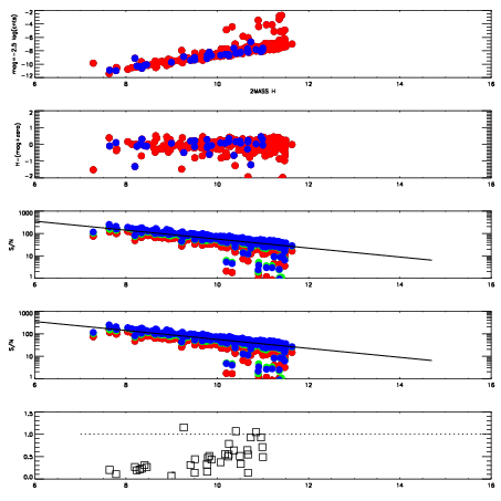
Frame | Nreads | Zeropoints | Mag plots
| Spatial mag deviation
| Spatial sky 16325A emission deviations (filled: sky, open: star)
| Spatial sky continuum emission
| Spatial sky telluric CO2 absorption deviations (filled: H < 10)
|
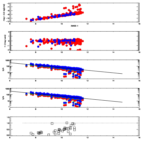
15910026
| 42
| | Red | Green | Blue
| z | | 18.11
| znorm | | 14.05
| sky | 14.9 | 14.5 | 14.8
| S/N | 11.5 | 19.2 | 19.9
| S/N(c) | 11.7 | 16.5 | 8.9
| SN(E/C) | 0.47
|
|
|
|
|
|
|
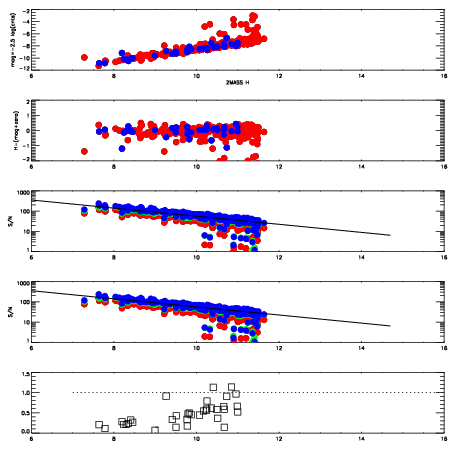
15910027
| 42
| | Red | Green | Blue
| z | | 18.27
| znorm | | 14.21
| sky | 14.8 | 14.8 | 14.8
| S/N | 12.1 | 20.5 | 21.5
| S/N(c) | 12.4 | 17.7 | 9.4
| SN(E/C) | 0.46
|
|
|
|
|
|
|
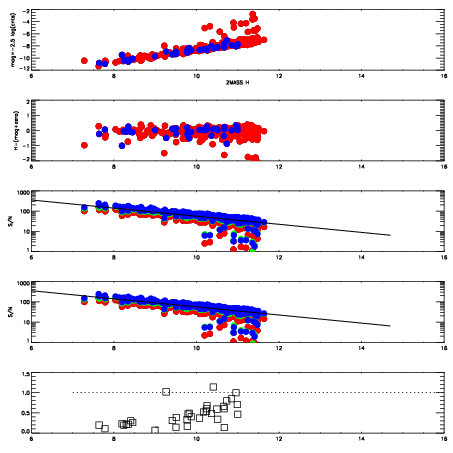
15910028
| 42
| | Red | Green | Blue
| z | | 18.30
| znorm | | 14.24
| sky | 15.1 | 14.8 | 14.8
| S/N | 12.0 | 18.6 | 21.7
| S/N(c) | 12.1 | 17.6 | 9.2
| SN(E/C) | 0.52
|
|
|
|
|
|
|
15910029
| 42
| | Red | Green | Blue
| z | | 18.31
| znorm | | 14.25
| sky | 14.9 | 15.0 | 14.9
| S/N | 11.8 | 19.1 | 21.4
| S/N(c) | 12.2 | 17.8 | 9.3
| SN(E/C) | 0.52
|
|
|
|
|
|
|
15910030
| 42
| | Red | Green | Blue
| z | | 18.69
| znorm | | 14.63
| sky | 14.8 | 14.7 | 14.8
| S/N | 12.4 | 20.9 | 22.5
| S/N(c) | 15.5 | 21.8 | 11.7
| SN(E/C) | 0.40
|
|
|
|
|
|
|
15910031
| 42
| | Red | Green | Blue
| z | | 18.71
| znorm | | 14.66
| sky | 14.7 | 14.7 | 14.7
| S/N | 12.3 | 20.9 | 22.7
| S/N(c) | 15.7 | 22.2 | 12.0
| SN(E/C) | 0.43
|
|
|
|
|
|
|
15910032
| 42
| | Red | Green | Blue
| z | | 18.39
| znorm | | 14.33
| sky | 15.0 | 14.8 | 14.8
| S/N | 13.7 | 22.8 | 24.3
| S/N(c) | 13.1 | 18.7 | 10.0
| SN(E/C) | 0.47
|
|
|
|
|
|
|
15910033
| 42
| | Red | Green | Blue
| z | | 18.50
| znorm | | 14.44
| sky | 14.8 | 14.8 | 14.8
| S/N | 14.2 | 23.5 | 24.9
| S/N(c) | 14.1 | 20.1 | 10.7
| SN(E/C) | 0.42
|
|
|
|
|
|
|
15910034
| 42
| | Red | Green | Blue
| z | | 18.38
| znorm | | 14.32
| sky | 15.1 | 15.0 | 14.9
| S/N | 12.2 | 20.5 | 22.9
| S/N(c) | 13.0 | 18.7 | 10.0
| SN(E/C) | 0.53
|
|
|
|
|
|
|
15910035
| 42
| | Red | Green | Blue
| z | | 18.47
| znorm | | 14.42
| sky | 15.1 | 15.0 | 14.9
| S/N | 13.0 | 21.0 | 24.1
| S/N(c) | 13.7 | 19.4 | 10.3
| SN(E/C) | 0.47
|
|
|
|
|
|
|
15910036
| 42
| | Red | Green | Blue
| z | | 18.64
| znorm | | 14.59
| sky | 14.9 | 14.9 | 14.8
| S/N | 12.7 | 21.0 | 22.5
| S/N(c) | 15.6 | 21.8 | 11.7
| SN(E/C) | 0.44
|
|
|
|
|
|
|
15910037
| 42
| | Red | Green | Blue
| z | | 18.55
| znorm | | 14.50
| sky | 14.8 | 14.9 | 15.1
| S/N | 11.2 | 19.7 | 22.0
| S/N(c) | 14.5 | 20.5 | 11.1
| SN(E/C) | 0.45
|
|
|
|
|
|
|