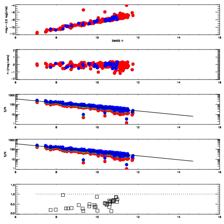
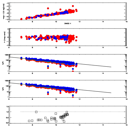
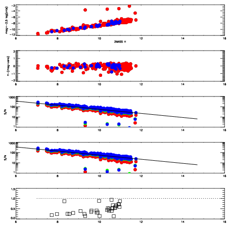
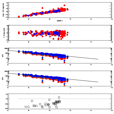
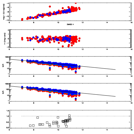
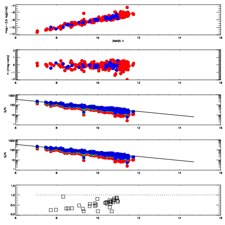
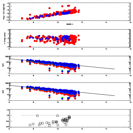
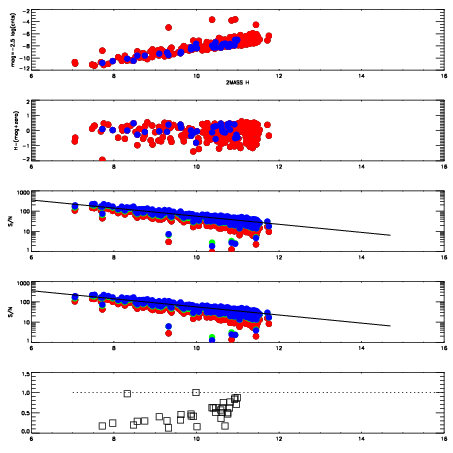
Frame | Nreads | Zeropoints | Mag plots
| Spatial mag deviation
| Spatial sky 16325A emission deviations (filled: sky, open: star)
| Spatial sky continuum emission
| Spatial sky telluric CO2 absorption deviations (filled: H < 10)
|
15680032
| 42
| | Red | Green | Blue
| z | | 18.14
| znorm | | 14.09
| sky | 15.1 | 14.7 | 14.8
| S/N | 9.9 | 17.2 | 17.3
| S/N(c) | 12.7 | 15.5 | 16.7
| SN(E/C) | 0.58
|
|
|
|
|
|
|
15680033
| 42
| | Red | Green | Blue
| z | | 18.13
| znorm | | 14.08
| sky | 15.2 | 15.1 | 15.0
| S/N | 9.2 | 16.3 | 16.4
| S/N(c) | 12.2 | 15.2 | 16.3
| SN(E/C) | 0.60
|
|
|
|
|
|
|
15680034
| 42
| | Red | Green | Blue
| z | | 18.10
| znorm | | 14.04
| sky | 15.0 | 15.1 | 15.1
| S/N | 15.4 | 25.4 | 26.8
| S/N(c) | 11.6 | 14.6 | 15.9
| SN(E/C) | 0.58
|
|
|
|
|
|
|
15680035
| 42
| | Red | Green | Blue
| z | | 18.22
| znorm | | 14.17
| sky | 15.0 | 14.9 | 15.1
| S/N | 14.9 | 24.7 | 26.2
| S/N(c) | 12.6 | 15.7 | 16.9
| SN(E/C) | 0.55
|
|
|
|
|
|
|
15680036
| 42
| | Red | Green | Blue
| z | | 18.67
| znorm | | 14.62
| sky | 14.7 | 14.9 | 14.9
| S/N | 12.1 | 20.1 | 20.8
| S/N(c) | 16.2 | 19.1 | 21.0
| SN(E/C) | 0.45
|
|
|
|
|
|
|
15680037
| 42
| | Red | Green | Blue
| z | | 18.69
| znorm | | 14.64
| sky | 15.1 | 14.9 | 15.0
| S/N | 12.3 | 20.5 | 21.3
| S/N(c) | 16.4 | 19.4 | 21.2
| SN(E/C) | 0.43
|
|
|
|
|
|
|
15680038
| 42
| | Red | Green | Blue
| z | | 18.47
| znorm | | 14.41
| sky | 15.1 | 15.0 | 15.0
| S/N | 11.2 | 18.9 | 19.1
| S/N(c) | 14.9 | 17.8 | 19.4
| SN(E/C) | 0.53
|
|
|
|
|
|
|
15680039
| 42
| | Red | Green | Blue
| z | | 18.49
| znorm | | 14.43
| sky | 15.1 | 15.2 | 15.0
| S/N | 11.0 | 18.7 | 19.1
| S/N(c) | 15.0 | 17.9 | 19.9
| SN(E/C) | 0.54
|
|
|
|
|
|
|
15680040
| 42
| | Red | Green | Blue
| z | | 18.32
| znorm | | 14.27
| sky | 15.3 | 15.2 | 15.2
| S/N | 15.3 | 25.2 | 26.9
| S/N(c) | 13.1 | 15.9 | 17.4
| SN(E/C) | 0.51
|
|
|
|
|
|
|
15680041
| 42
| | Red | Green | Blue
| z | | 18.37
| znorm | | 14.31
| sky | 15.2 | 15.2 | 15.1
| S/N | 14.4 | 24.0 | 25.6
| S/N(c) | 13.4 | 16.0 | 17.9
| SN(E/C) | 0.50
|
|
|
|
|
|
|
15680042
| 42
| | Red | Green | Blue
| z | | 18.48
| znorm | | 14.42
| sky | 15.3 | 15.2 | 14.9
| S/N | 11.4 | 19.2 | 19.8
| S/N(c) | 14.6 | 17.0 | 18.8
| SN(E/C) | 0.51
|
|
|
|
|
|
|
15680043
| 42
| | Red | Green | Blue
| z | | 18.37
| znorm | | 14.32
| sky | 15.2 | 15.0 | 15.1
| S/N | 10.5 | 17.9 | 18.6
| S/N(c) | 13.5 | 16.1 | 17.9
| SN(E/C) | 0.53
|
|
|
|
|
|
|
15680044
| 42
| | Red | Green | Blue
| z | | 18.57
| znorm | | 14.51
| sky | 15.0 | 15.0 | 15.0
| S/N | 11.6 | 19.6 | 19.9
| S/N(c) | 15.9 | 18.5 | 20.5
| SN(E/C) | 0.50
|
|
|
|
|
|
|
15680045
| 42
| | Red | Green | Blue
| z | | 18.55
| znorm | | 14.49
| sky | 15.0 | 14.9 | 15.0
| S/N | 11.7 | 19.2 | 19.4
| S/N(c) | 15.6 | 18.4 | 19.9
| SN(E/C) | 0.52
|
|
|
|
|
|
|
15680046
| 42
| | Red | Green | Blue
| z | | 18.44
| znorm | | 14.38
| sky | 15.4 | 15.1 | 15.2
| S/N | 13.9 | 23.6 | 25.0
| S/N(c) | 13.9 | 16.6 | 18.1
| SN(E/C) | 0.50
|
|
|
|
|
|
|
15680047
| 42
| | Red | Green | Blue
| z | | 18.48
| znorm | | 14.42
| sky | 14.8 | 15.1 | 14.8
| S/N | 14.3 | 24.0 | 25.5
| S/N(c) | 14.4 | 17.1 | 18.7
| SN(E/C) | 0.47
|
|
|
|
|
|
|
15680048
| 42
| | Red | Green | Blue
| z | | 18.34
| znorm | | 14.28
| sky | 15.1 | 15.2 | 14.9
| S/N | 11.2 | 19.2 | 19.7
| S/N(c) | 13.2 | 16.0 | 17.6
| SN(E/C) | 0.51
|
|
|
|
|
|
|
15680049
| 42
| | Red | Green | Blue
| z | | 18.29
| znorm | | 14.23
| sky | 15.1 | 15.0 | 15.1
| S/N | 10.7 | 18.6 | 19.1
| S/N(c) | 12.4 | 15.5 | 16.8
| SN(E/C) | 0.50
|
|
|
|
|
|
|