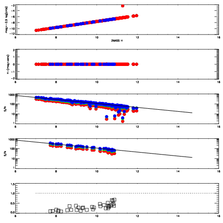
Left plots: red are targets, blue are telluric. Observed mags are calculated from median value of green chip. Zeropoint gives overall throughput: bigger number is more throughput.
First spatial plots: circles are objects, squares are tellurics, crosses are sky fibers. Colors give deviation of observed mag from expected 2MASS mag using the median zeropoint; red is brighter
Second spatial plots: circles are sky fibers. Colors give sky line brightness relative to plate median sky line brightness
FrameNreadsZeropointsMag plots Spatial mag deviation Spatial sky 16325A emission deviations (filled: sky, open: star) Spatial sky continuum emission Spatial sky telluric CO2 absorption deviations (filled: H < 10)
0 0
RedGreenBlue
z17.64
znorm Inf
sky -Inf -Inf -NaN
S/N 18.2 31.3 33.5
S/N(c) 0.0 0.0 0.0
SN(E/C) 0.29

IPAIRNAMESHIFTNEWSHIFTS/N NAMESHIFTNEWSHIFTS/N
0 15100044 0.500216 0.00000 18.2304 15100051 0.00274193 0.497474 18.2449
1 15100043 0.499702 0.000514001 18.3860 15100042 0.00000 0.500216 18.3645
2 15100049 0.499545 0.000670999 18.3045 15100048 0.00101740 0.499199 18.3006
3 15100050 0.499816 0.000400007 18.2813 15100045 2.60231e-05 0.500190 18.2602