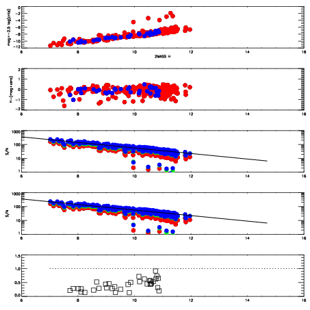
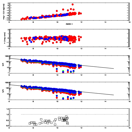
Left plots: red are targets, blue are telluric. Observed mags are calculated from median value of green chip. Zeropoint gives overall throughput: bigger number is more throughput.
First spatial plots: circles are objects, squares are tellurics, crosses are sky fibers. Colors give deviation of observed mag from expected 2MASS mag using the median zeropoint; red is brighter
Second spatial plots: circles are sky fibers. Colors give sky line brightness relative to plate median sky line brightness
FrameNreadsZeropointsMag plots Spatial mag deviation Spatial sky 16325A emission deviations (filled: sky, open: star) Spatial sky continuum emission Spatial sky telluric CO2 absorption deviations (filled: H < 10)
15200035 42
RedGreenBlue
z18.25
znorm14.19
sky 14.8 14.7 14.8
S/N 10.1 18.5 17.9
S/N(c) 14.0 8.5 4.5
SN(E/C) 0.45
15200036 42
RedGreenBlue
z18.41
znorm14.36
sky 15.0 15.0 14.9
S/N 11.2 20.0 19.9
S/N(c) 15.2 9.1 4.9
SN(E/C) 0.43
15200037 42
RedGreenBlue
z18.07
znorm14.01
sky 15.3 15.0 15.0
S/N 8.2 13.4 16.3
S/N(c) 11.6 7.3 3.9
SN(E/C) 0.59
15200038 42
RedGreenBlue
z18.04
znorm13.98
sky 15.3 14.9 15.2
S/N 7.9 13.2 16.0
S/N(c) 11.4 7.2 3.8
SN(E/C) 0.48