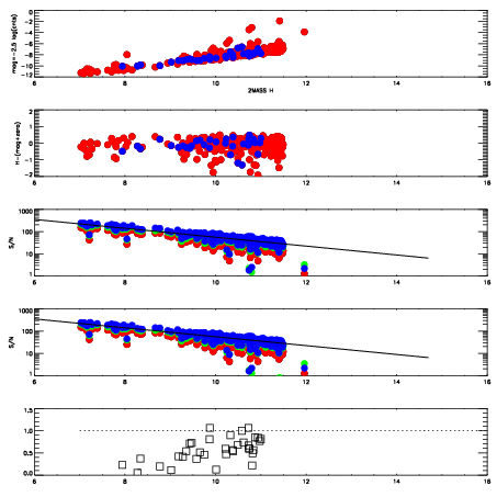
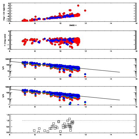
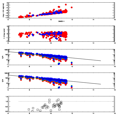
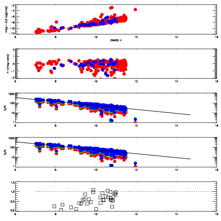
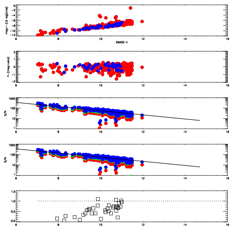
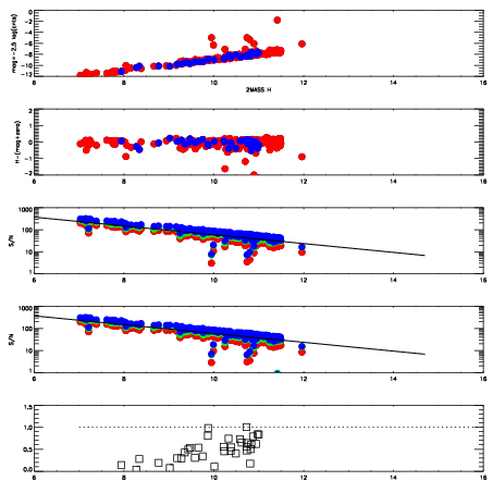
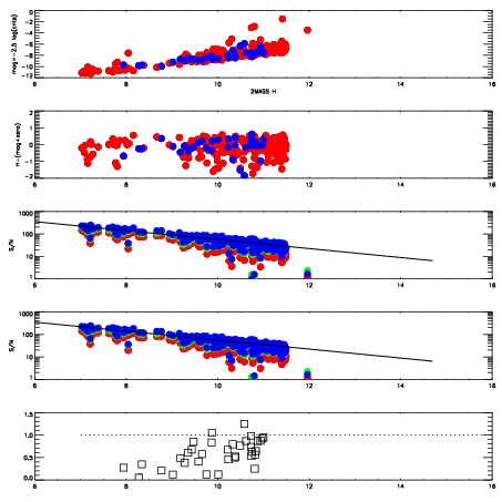
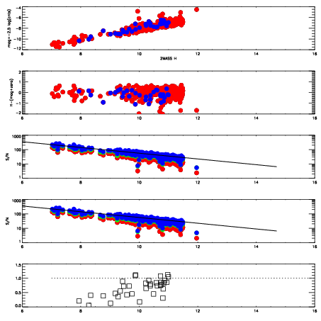
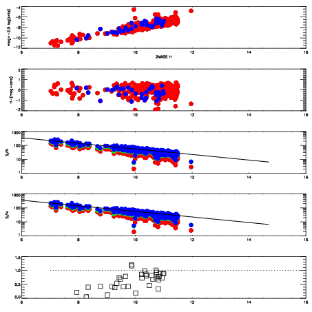
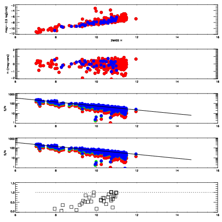
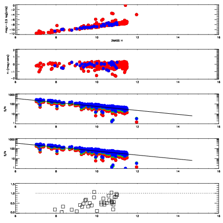
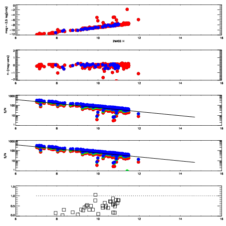
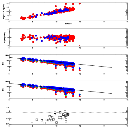
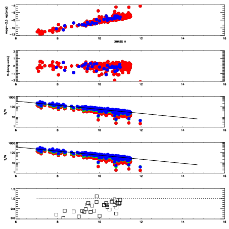
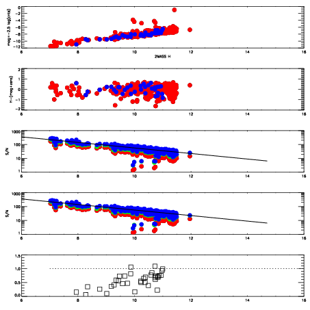
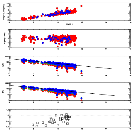
Frame | Nreads | Zeropoints | Mag plots
| Spatial mag deviation
| Spatial sky 16325A emission deviations (filled: sky, open: star)
| Spatial sky continuum emission
| Spatial sky telluric CO2 absorption deviations (filled: H < 10)
|
19730011
| 47
| | Red | Green | Blue
| z | | 18.98
| znorm | | 14.80
| sky | 14.3 | 14.1 | 14.0
| S/N | 7.3 | 13.0 | 13.1
| S/N(c) | 14.4 | 17.8 | 5.9
| SN(E/C) | 0.50
|
|
|
|
|
|
|
19730012
| 47
| | Red | Green | Blue
| z | | 18.94
| znorm | | 14.76
| sky | 14.5 | 14.4 | 14.3
| S/N | 8.5 | 14.5 | 14.9
| S/N(c) | 14.1 | 17.6 | 5.7
| SN(E/C) | 0.50
|
|
|
|
|
|
|
19730013
| 42
| | Red | Green | Blue
| z | | 18.06
| znorm | | 14.00
| sky | 14.7 | 14.4 | 14.3
| S/N | 13.8 | 22.0 | 23.2
| S/N(c) | 8.2 | 11.4 | 3.6
| SN(E/C) | 0.63
|
|
|
|
|
|
|
19730014
| 42
| | Red | Green | Blue
| z | | 18.14
| znorm | | 14.08
| sky | 14.9 | 14.7 | 14.5
| S/N | 13.8 | 22.3 | 23.2
| S/N(c) | 8.4 | 11.9 | 3.8
| SN(E/C) | 0.62
|
|
|
|
|
|
|
19730015
| 42
| | Red | Green | Blue
| z | | 18.13
| znorm | | 14.07
| sky | 14.6 | 14.7 | 14.7
| S/N | 2.5 | 6.1 | 6.0
| S/N(c) | 8.3 | 11.5 | 3.7
| SN(E/C) | 0.73
|
|
|
|
|
|
|
19730016
| 42
| | Red | Green | Blue
| z | | 18.16
| znorm | | 14.10
| sky | 14.7 | 14.9 | 14.9
| S/N | 2.1 | 5.0 | 4.9
| S/N(c) | 8.4 | 11.8 | 3.8
| SN(E/C) | 0.73
|
|
|
|
|
|
|
19730017
| 42
| | Red | Green | Blue
| z | | 18.74
| znorm | | 14.68
| sky | 14.7 | 14.8 | 14.7
| S/N | 1.4 | 3.2 | 2.9
| S/N(c) | 12.1 | 15.5 | 5.0
| SN(E/C) | 0.51
|
|
|
|
|
|
|
19730018
| 42
| | Red | Green | Blue
| z | | 18.68
| znorm | | 14.62
| sky | 14.8 | 15.0 | 14.8
| S/N | 1.0 | 2.6 | 2.8
| S/N(c) | 11.7 | 15.1 | 4.9
| SN(E/C) | 0.52
|
|
|
|
|
|
|
19730019
| 42
| | Red | Green | Blue
| z | | 18.23
| znorm | | 14.17
| sky | 14.8 | 14.9 | 14.7
| S/N | 13.7 | 22.2 | 23.0
| S/N(c) | 9.0 | 12.7 | 4.1
| SN(E/C) | 0.63
|
|
|
|
|
|
|
19730020
| 42
| | Red | Green | Blue
| z | | 18.29
| znorm | | 14.23
| sky | 15.0 | 14.9 | 14.9
| S/N | 12.9 | 21.4 | 22.3
| S/N(c) | 9.5 | 13.2 | 4.2
| SN(E/C) | 0.61
|
|
|
|
|
|
|
19730021
| 42
| | Red | Green | Blue
| z | | 18.24
| znorm | | 14.18
| sky | 15.0 | 15.1 | 14.9
| S/N | 1.1 | 2.7 | 2.6
| S/N(c) | 9.1 | 12.4 | 4.0
| SN(E/C) | 0.69
|
|
|
|
|
|
|
19730022
| 42
| | Red | Green | Blue
| z | | 18.26
| znorm | | 14.20
| sky | 15.2 | 15.0 | 14.9
| S/N | 1.3 | 3.1 | 3.0
| S/N(c) | 9.2 | 12.5 | 4.0
| SN(E/C) | 0.71
|
|
|
|
|
|
|
19730023
| 42
| | Red | Green | Blue
| z | | 18.51
| znorm | | 14.45
| sky | 15.2 | 15.0 | 15.0
| S/N | 1.2 | 2.8 | 2.4
| S/N(c) | 10.7 | 14.1 | 4.6
| SN(E/C) | 0.55
|
|
|
|
|
|
|
19730024
| 42
| | Red | Green | Blue
| z | | 18.48
| znorm | | 14.42
| sky | 15.1 | 14.8 | 15.0
| S/N | 1.1 | 2.9 | 2.0
| S/N(c) | 10.5 | 14.0 | 4.5
| SN(E/C) | 0.56
|
|
|
|
|
|
|
19730025
| 42
| | Red | Green | Blue
| z | | 18.43
| znorm | | 14.38
| sky | 15.1 | 14.9 | 14.8
| S/N | 10.4 | 18.1 | 18.7
| S/N(c) | 10.5 | 14.0 | 4.5
| SN(E/C) | 0.58
|
|
|
|
|
|
|
19730026
| 42
| | Red | Green | Blue
| z | | 18.43
| znorm | | 14.37
| sky | 14.8 | 14.8 | 14.8
| S/N | 9.8 | 17.4 | 18.1
| S/N(c) | 10.5 | 13.9 | 4.5
| SN(E/C) | 0.62
|
|
|
|
|
|
|
19730027
| 42
| | Red | Green | Blue
| z | | 18.36
| znorm | | 14.31
| sky | 14.8 | 14.9 | 15.1
| S/N | 2.0 | 4.3 | 4.1
| S/N(c) | 9.9 | 13.1 | 4.2
| SN(E/C) | 0.60
|
|
|
|
|
|
|
19730028
| 42
| | Red | Green | Blue
| z | | 18.36
| znorm | | 14.30
| sky | 14.5 | 14.8 | 15.0
| S/N | 2.0 | 4.1 | 4.0
| S/N(c) | 9.6 | 12.9 | 4.2
| SN(E/C) | 0.67
|
|
|
|
|
|
|
19730029
| 42
| | Red | Green | Blue
| z | | 18.43
| znorm | | 14.37
| sky | 15.1 | 14.9 | 14.8
| S/N | 0.9 | 2.4 | 1.9
| S/N(c) | 9.8 | 13.2 | 4.3
| SN(E/C) | 0.58
|
|
|
|
|
|
|
19730030
| 42
| | Red | Green | Blue
| z | | 18.34
| znorm | | 14.29
| sky | 14.8 | 14.8 | 14.9
| S/N | 1.0 | 2.1 | 1.5
| S/N(c) | 9.3 | 12.8 | 4.1
| SN(E/C) | 0.60
|
|
|
|
|
|
|