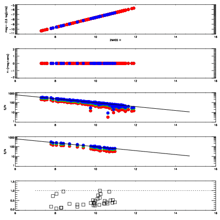
Left plots: red are targets, blue are telluric. Observed mags are calculated from median value of green chip. Zeropoint gives overall throughput: bigger number is more throughput.
First spatial plots: circles are objects, squares are tellurics, crosses are sky fibers. Colors give deviation of observed mag from expected 2MASS mag using the median zeropoint; red is brighter
Second spatial plots: circles are sky fibers. Colors give sky line brightness relative to plate median sky line brightness
FrameNreadsZeropointsMag plots Spatial mag deviation Spatial sky 16325A emission deviations (filled: sky, open: star) Spatial sky continuum emission Spatial sky telluric CO2 absorption deviations (filled: H < 10)
0 0
RedGreenBlue
z17.64
znorm Inf
sky -Inf -Inf -Inf
S/N 12.8 22.1 26.7
S/N(c) 0.0 0.0 0.0
SN(E/C) 0.39

IPAIRNAMESHIFTNEWSHIFTS/N NAMESHIFTNEWSHIFTS/N
0 19000036 0.501210 0.00000 17.9903 19000037 -0.000715944 0.501926 18.0480
1 19000039 0.500042 0.00116795 18.5176 19000038 -0.00215107 0.503361 18.5151
2 19000035 0.501027 0.000182986 17.9056 19000034 0.00000 0.501210 17.7726