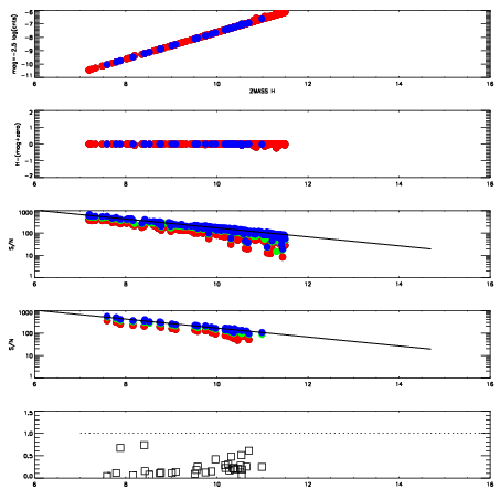
Left plots: red are targets, blue are telluric. Observed mags are calculated from median value of green chip. Zeropoint gives overall throughput: bigger number is more throughput.
First spatial plots: circles are objects, squares are tellurics, crosses are sky fibers. Colors give deviation of observed mag from expected 2MASS mag using the median zeropoint; red is brighter
Second spatial plots: circles are sky fibers. Colors give sky line brightness relative to plate median sky line brightness
FrameNreadsZeropointsMag plots Spatial mag deviation Spatial sky 16325A emission deviations (filled: sky, open: star) Spatial sky continuum emission Spatial sky telluric CO2 absorption deviations (filled: H < 10)
0 0
RedGreenBlue
z17.63
znorm Inf
sky -Inf -Inf -Inf
S/N 27.8 45.8 52.5
S/N(c) 0.0 0.0 0.0
SN(E/C) 0.19

IPAIRNAMESHIFTNEWSHIFTS/N NAMESHIFTNEWSHIFTS/N
0 16000045 0.494607 0.00000 17.6996 16000039 0.00205007 0.492557 18.1076
1 16000037 0.492256 0.00235102 18.5965 16000043 0.00334490 0.491262 18.6381
2 16000042 0.493590 0.00101700 18.5885 16000036 0.00231695 0.492290 18.5477
3 16000034 0.492677 0.00193000 18.5299 16000035 0.00154973 0.493057 18.5267
4 16000041 0.492569 0.00203800 18.5278 16000040 0.00115493 0.493452 18.4989
5 16000030 0.494213 0.000393987 18.3240 16000031 0.00238876 0.492218 18.4356
6 16000033 0.492501 0.00210601 18.2821 16000028 0.00000 0.494607 18.3770
7 16000038 0.492564 0.00204301 18.1136 16000032 0.00197795 0.492629 18.3440
8 16000029 0.347320 0.147287 -Inf 16000044 0.00327221 0.491335 17.7269