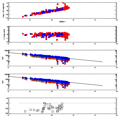
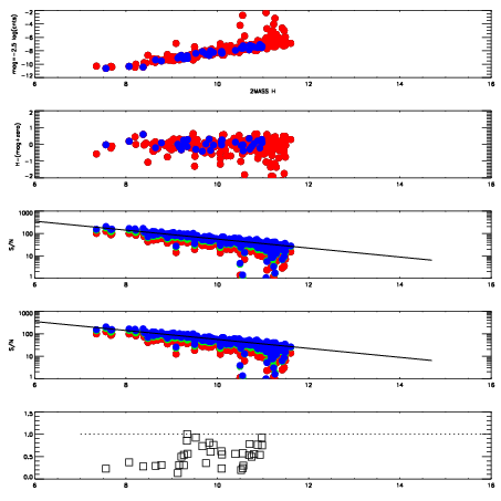
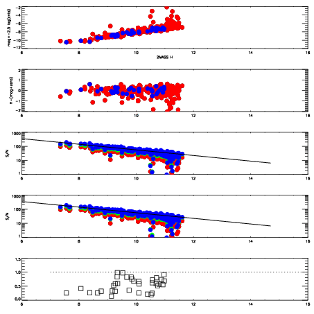
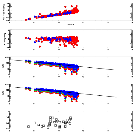
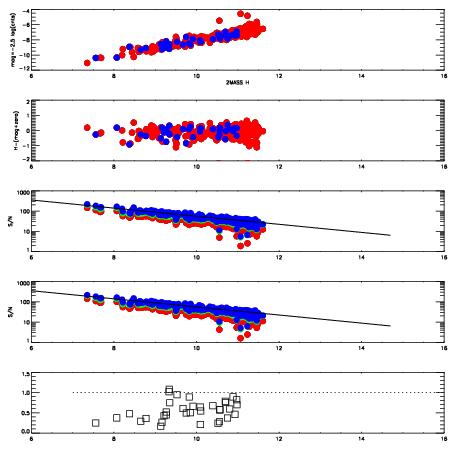
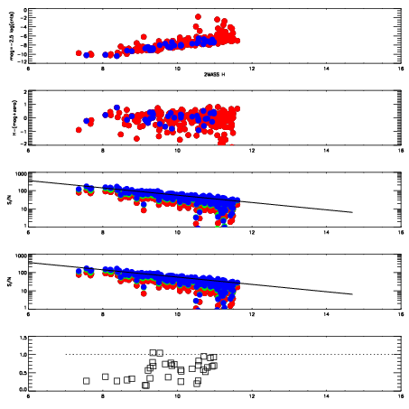
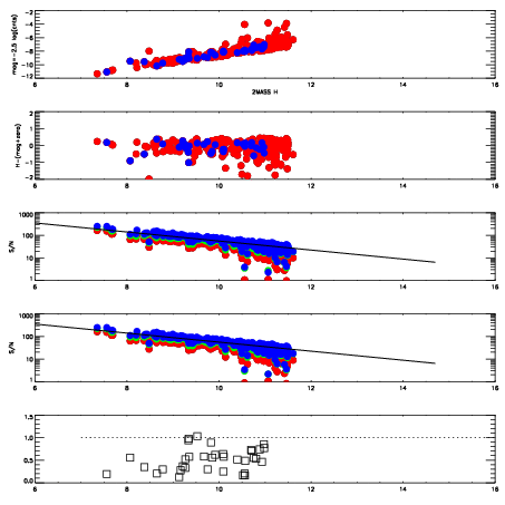
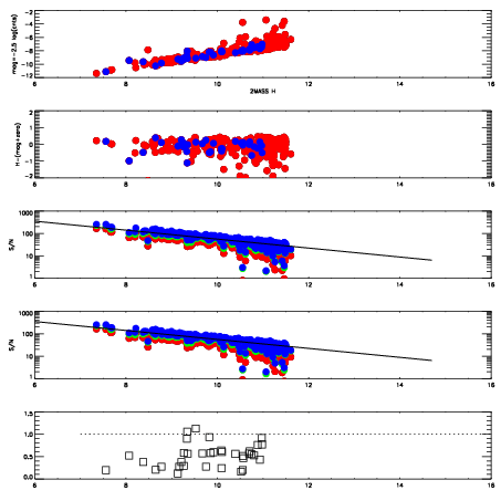
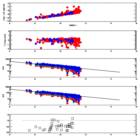
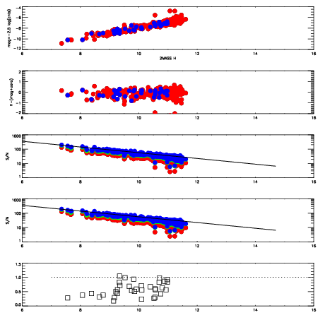
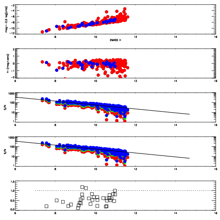
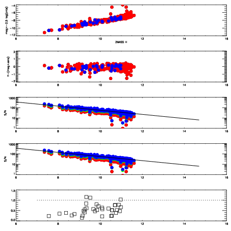
Frame | Nreads | Zeropoints | Mag plots
| Spatial mag deviation
| Spatial sky 16325A emission deviations (filled: sky, open: star)
| Spatial sky continuum emission
| Spatial sky telluric CO2 absorption deviations (filled: H < 10)
|
18400028
| 42
| | Red | Green | Blue
| z | | 18.41
| znorm | | 14.35
| sky | 14.8 | 14.7 | 14.8
| S/N | 10.2 | 17.9 | 20.3
| S/N(c) | 10.7 | 4.7 | 8.6
| SN(E/C) | 0.56
|
|
|
|
|
|
|
18400029
| 42
| | Red | Green | Blue
| z | | 18.39
| znorm | | 14.33
| sky | 15.3 | 15.0 | 14.9
| S/N | 9.9 | 17.7 | 20.2
| S/N(c) | 10.6 | 4.6 | 8.4
| SN(E/C) | 0.53
|
|
|
|
|
|
|
18400030
| 42
| | Red | Green | Blue
| z | | 18.21
| znorm | | 14.15
| sky | 15.3 | 15.1 | 15.1
| S/N | 9.7 | 17.2 | 19.7
| S/N(c) | 9.6 | 4.2 | 7.6
| SN(E/C) | 0.54
|
|
|
|
|
|
|
18400031
| 42
| | Red | Green | Blue
| z | | 18.04
| znorm | | 13.98
| sky | 15.0 | 15.1 | 15.2
| S/N | 9.3 | 15.8 | 18.3
| S/N(c) | 8.6 | 3.8 | 6.9
| SN(E/C) | 0.56
|
|
|
|
|
|
|
18400032
| 42
| | Red | Green | Blue
| z | | 18.24
| znorm | | 14.19
| sky | 15.2 | 15.2 | 15.5
| S/N | 10.2 | 18.2 | 20.6
| S/N(c) | 9.5 | 4.3 | 7.8
| SN(E/C) | 0.55
|
|
|
|
|
|
|
18400033
| 42
| | Red | Green | Blue
| z | | 18.21
| znorm | | 14.15
| sky | 15.1 | 15.1 | 15.0
| S/N | 10.2 | 17.9 | 20.2
| S/N(c) | 9.3 | 4.1 | 7.7
| SN(E/C) | 0.54
|
|
|
|
|
|
|
18400034
| 42
| | Red | Green | Blue
| z | | 18.44
| znorm | | 14.38
| sky | 15.6 | 15.1 | 15.1
| S/N | 10.7 | 19.1 | 20.9
| S/N(c) | 10.5 | 4.7 | 8.4
| SN(E/C) | 0.51
|
|
|
|
|
|
|
18400035
| 42
| | Red | Green | Blue
| z | | 18.43
| znorm | | 14.37
| sky | 15.0 | 15.1 | 15.0
| S/N | 10.9 | 19.3 | 20.8
| S/N(c) | 10.3 | 4.6 | 8.3
| SN(E/C) | 0.52
|
|
|
|
|
|
|
18400036
| 42
| | Red | Green | Blue
| z | | 18.26
| znorm | | 14.20
| sky | 15.2 | 15.1 | 15.2
| S/N | 10.3 | 17.4 | 19.6
| S/N(c) | 9.6 | 4.2 | 7.7
| SN(E/C) | 0.56
|
|
|
|
|
|
|
18400037
| 42
| | Red | Green | Blue
| z | | 18.28
| znorm | | 14.22
| sky | 14.8 | 14.7 | 15.4
| S/N | 10.5 | 17.7 | 19.9
| S/N(c) | 9.9 | 4.3 | 7.8
| SN(E/C) | 0.55
|
|
|
|
|
|
|
18400038
| 42
| | Red | Green | Blue
| z | | 18.12
| znorm | | 14.06
| sky | 15.1 | 15.4 | 15.1
| S/N | 9.6 | 17.6 | 19.4
| S/N(c) | 8.8 | 3.9 | 7.2
| SN(E/C) | 0.58
|
|
|
|
|
|
|
18400039
| 42
| | Red | Green | Blue
| z | | 18.08
| znorm | | 14.02
| sky | 15.2 | 15.4 | 15.0
| S/N | 9.0 | 16.7 | 18.8
| S/N(c) | 8.5 | 3.8 | 7.1
| SN(E/C) | 0.61
|
|
|
|
|
|
|
18400040
| 42
| | Red | Green | Blue
| z | | 18.45
| znorm | | 14.39
| sky | 15.1 | 15.1 | 14.9
| S/N | 10.5 | 18.8 | 20.4
| S/N(c) | 10.7 | 4.7 | 8.3
| SN(E/C) | 0.53
|
|
|
|
|
|
|
18400041
| 42
| | Red | Green | Blue
| z | | 18.50
| znorm | | 14.44
| sky | 15.1 | 15.1 | 14.8
| S/N | 10.7 | 19.2 | 21.0
| S/N(c) | 11.0 | 4.7 | 8.5
| SN(E/C) | 0.55
|
|
|
|
|
|
|
18400042
| 42
| | Red | Green | Blue
| z | | 18.36
| znorm | | 14.31
| sky | 15.2 | 15.2 | 14.9
| S/N | 10.9 | 18.3 | 20.7
| S/N(c) | 10.4 | 4.5 | 8.3
| SN(E/C) | 0.51
|
|
|
|
|
|
|
18400043
| 42
| | Red | Green | Blue
| z | | 18.39
| znorm | | 14.33
| sky | 15.5 | 15.2 | 15.2
| S/N | 11.1 | 18.9 | 21.5
| S/N(c) | 10.6 | 4.6 | 8.4
| SN(E/C) | 0.52
|
|
|
|
|
|
|
18400044
| 42
| | Red | Green | Blue
| z | | 18.02
| znorm | | 13.96
| sky | 15.2 | 15.1 | 15.2
| S/N | 9.1 | 16.6 | 18.4
| S/N(c) | 8.2 | 3.8 | 6.9
| SN(E/C) | 0.60
|
|
|
|
|
|
|
18400045
| 42
| | Red | Green | Blue
| z | | 18.00
| znorm | | 13.94
| sky | 15.9 | 15.3 | 15.4
| S/N | 9.0 | 16.6 | 18.2
| S/N(c) | 8.0 | 3.7 | 6.8
| SN(E/C) | 0.61
|
|
|
|
|
|
|