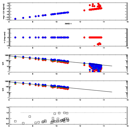
Left plots: red are targets, blue are telluric. Observed mags are calculated from median value of green chip. Zeropoint gives overall throughput: bigger number is more throughput.
First spatial plots: circles are objects, squares are tellurics, crosses are sky fibers. Colors give deviation of observed mag from expected 2MASS mag using the median zeropoint; red is brighter
Second spatial plots: circles are sky fibers. Colors give sky line brightness relative to plate median sky line brightness
FrameNreadsZeropointsMag plots Spatial mag deviation Spatial sky 16325A emission deviations (filled: sky, open: star) Spatial sky continuum emission Spatial sky telluric CO2 absorption deviations (filled: H < 10)
0 0
RedGreenBlue
z17.64
znorm Inf
sky -Inf -Inf -NaN
S/N 24.7 40.1 43.3
S/N(c) 16.1 54.7 38.5
SN(E/C) 0.31

IPAIRNAMESHIFTNEWSHIFTS/N NAMESHIFTNEWSHIFTS/N
0 14640020 0.499022 0.00000 18.6638 14640018 0.00131233 0.497710 18.6513
1 14640016 0.496496 0.00252602 18.6666 14640015 0.00000 0.499022 18.8415
2 14640017 0.498259 0.000762999 18.6288 14640019 0.000880100 0.498142 18.5806