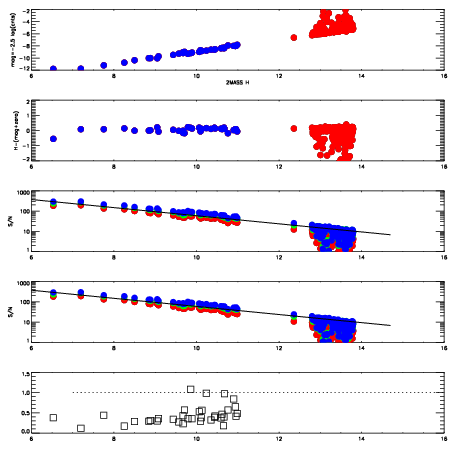
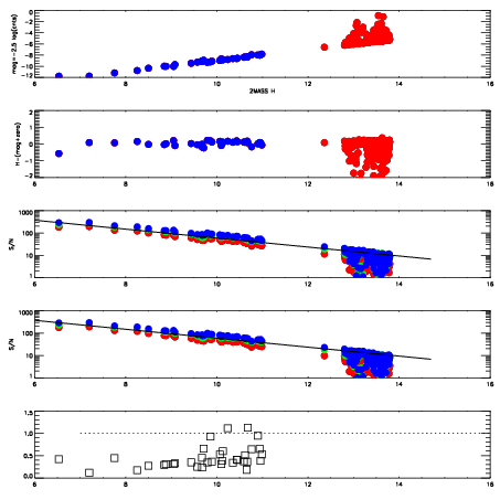
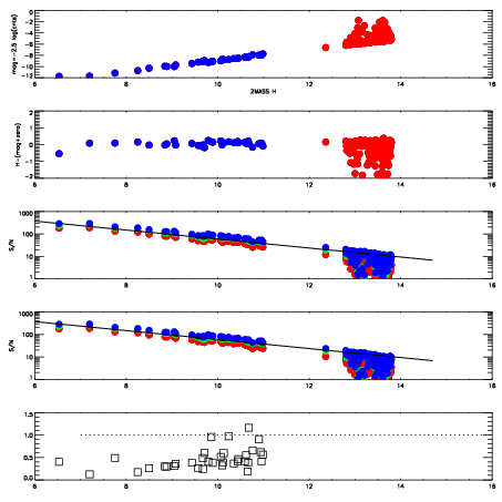
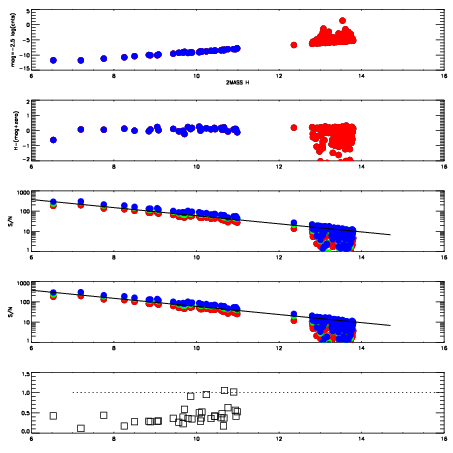
Left plots: red are targets, blue are telluric. Observed mags are calculated from median value of green chip. Zeropoint gives overall throughput: bigger number is more throughput.
First spatial plots: circles are objects, squares are tellurics, crosses are sky fibers. Colors give deviation of observed mag from expected 2MASS mag using the median zeropoint; red is brighter
Second spatial plots: circles are sky fibers. Colors give sky line brightness relative to plate median sky line brightness
FrameNreadsZeropointsMag plots Spatial mag deviation Spatial sky 16325A emission deviations (filled: sky, open: star) Spatial sky continuum emission Spatial sky telluric CO2 absorption deviations (filled: H < 10)
14930011 47
RedGreenBlue
z18.89
znorm14.71
sky 15.0 14.6 15.0
S/N 19.0 28.4 31.8
S/N(c) 10.7 22.0 44.5
SN(E/C) 0.38
14930012 47
RedGreenBlue
z18.89
znorm14.71
sky 15.1 14.9 14.9
S/N 18.5 28.1 31.4
S/N(c) 10.8 21.8 44.8
SN(E/C) 0.38
14930013 47
RedGreenBlue
z18.82
znorm14.63
sky 15.1 15.3 15.1
S/N 17.5 27.2 30.1
S/N(c) 10.4 21.3 43.2
SN(E/C) 0.40
14930014 47
RedGreenBlue
z18.87
znorm14.69
sky 15.2 15.1 15.0
S/N 18.0 27.5 30.5
S/N(c) 10.6 21.7 43.5
SN(E/C) 0.38
14930015 47
RedGreenBlue
z18.88
znorm14.70
sky 15.3 15.1 15.0
S/N 18.2 27.8 30.9
S/N(c) 10.5 21.7 44.1
SN(E/C) 0.38
14930016 47
RedGreenBlue
z18.86
znorm14.68
sky 15.2 15.2 15.0
S/N 17.7 27.3 30.2
S/N(c) 10.4 21.1 43.0
SN(E/C) 0.38