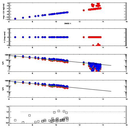
Left plots: red are targets, blue are telluric. Observed mags are calculated from median value of green chip. Zeropoint gives overall throughput: bigger number is more throughput.
First spatial plots: circles are objects, squares are tellurics, crosses are sky fibers. Colors give deviation of observed mag from expected 2MASS mag using the median zeropoint; red is brighter
Second spatial plots: circles are sky fibers. Colors give sky line brightness relative to plate median sky line brightness
FrameNreadsZeropointsMag plots Spatial mag deviation Spatial sky 16325A emission deviations (filled: sky, open: star) Spatial sky continuum emission Spatial sky telluric CO2 absorption deviations (filled: H < 10)
0 0
RedGreenBlue
z17.64
znorm Inf
sky -Inf -Inf -NaN
S/N 28.5 45.6 51.6
S/N(c) 18.2 37.8 76.2
SN(E/C) 0.27

IPAIRNAMESHIFTNEWSHIFTS/N NAMESHIFTNEWSHIFTS/N
0 14930016 0.501563 0.00000 18.8311 14930011 0.00000 0.501563 18.8462
1 14930012 0.500674 0.000889003 18.8300 14930014 0.000381213 0.501182 18.8338
2 14930013 0.501148 0.000415027 18.7752 14930015 0.000267406 0.501296 18.8252