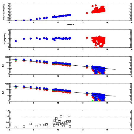
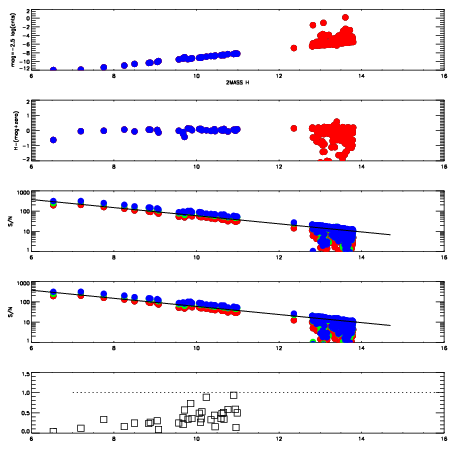
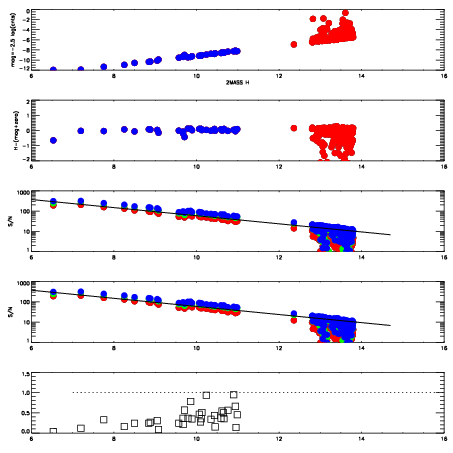
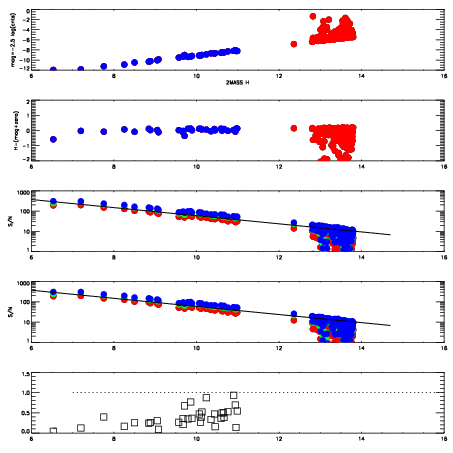
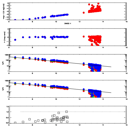
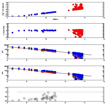
Frame | Nreads | Zeropoints | Mag plots
| Spatial mag deviation
| Spatial sky 16325A emission deviations (filled: sky, open: star)
| Spatial sky continuum emission
| Spatial sky telluric CO2 absorption deviations (filled: H < 10)
|
14970058
| 47
| | Red | Green | Blue
| z | | 19.11
| znorm | | 14.93
| sky | 14.9 | 14.6 | 15.0
| S/N | 18.3 | 27.8 | 31.0
| S/N(c) | 11.5 | 41.2 | 17.9
| SN(E/C) | 0.34
|
|
|
|
|
|
|
14970059
| 47
| | Red | Green | Blue
| z | | 19.07
| znorm | | 14.89
| sky | 14.9 | 14.7 | 15.1
| S/N | 17.9 | 27.6 | 30.7
| S/N(c) | 11.3 | 40.6 | 17.9
| SN(E/C) | 0.34
|
|
|
|
|
|
|
14970060
| 47
| | Red | Green | Blue
| z | | 19.12
| znorm | | 14.94
| sky | 14.9 | 15.0 | 15.0
| S/N | 18.3 | 28.2 | 31.4
| S/N(c) | 11.5 | 41.4 | 18.1
| SN(E/C) | 0.35
|
|
|
|
|
|
|
14970061
| 47
| | Red | Green | Blue
| z | | 19.16
| znorm | | 14.98
| sky | 14.9 | 14.9 | 15.1
| S/N | 18.5 | 28.3 | 31.3
| S/N(c) | 11.6 | 41.6 | 18.2
| SN(E/C) | 0.33
|
|
|
|
|
|
|
14970062
| 47
| | Red | Green | Blue
| z | | 19.16
| znorm | | 14.98
| sky | 15.1 | 14.9 | 15.0
| S/N | 18.7 | 28.4 | 31.6
| S/N(c) | 11.7 | 42.0 | 18.2
| SN(E/C) | 0.34
|
|
|
|
|
|
|
14970063
| 47
| | Red | Green | Blue
| z | | 19.15
| znorm | | 14.97
| sky | 15.1 | 14.9 | 15.0
| S/N | 18.5 | 28.4 | 31.5
| S/N(c) | 11.6 | 41.9 | 18.1
| SN(E/C) | 0.34
|
|
|
|
|
|
|
14970064
| 47
| | Red | Green | Blue
| z | | 19.08
| znorm | | 14.90
| sky | 15.0 | 15.0 | 15.2
| S/N | 18.2 | 27.8 | 30.8
| S/N(c) | 11.3 | 40.8 | 17.7
| SN(E/C) | 0.36
|
|
|
|
|
|
|
14970065
| 47
| | Red | Green | Blue
| z | | 19.06
| znorm | | 14.87
| sky | 15.0 | 14.9 | 15.1
| S/N | 18.2 | 27.8 | 30.7
| S/N(c) | 11.3 | 40.4 | 17.5
| SN(E/C) | 0.36
|
|
|
|
|
|
|