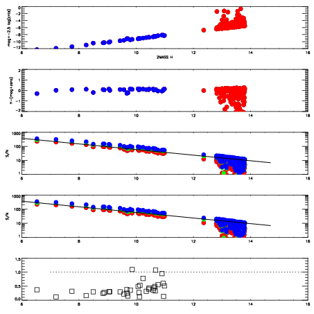
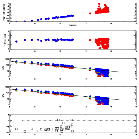
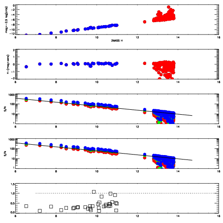
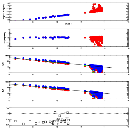
Frame | Nreads | Zeropoints | Mag plots
| Spatial mag deviation
| Spatial sky 16325A emission deviations (filled: sky, open: star)
| Spatial sky continuum emission
| Spatial sky telluric CO2 absorption deviations (filled: H < 10)
|
15000044
| 47
| | Red | Green | Blue
| z | | 19.13
| znorm | | 14.95
| sky | 15.0 | 14.6 | 14.8
| S/N | 18.9 | 28.4 | 32.0
| S/N(c) | 11.8 | 41.2 | 13.8
| SN(E/C) | 0.35
|
|
|
|
|
|
|
15000045
| 47
| | Red | Green | Blue
| z | | 19.16
| znorm | | 14.98
| sky | 15.0 | 14.8 | 14.9
| S/N | 19.1 | 28.8 | 32.7
| S/N(c) | 11.8 | 41.9 | 13.7
| SN(E/C) | 0.31
|
|
|
|
|
|
|
15000046
| 47
| | Red | Green | Blue
| z | | 19.17
| znorm | | 14.99
| sky | 14.8 | 14.7 | 15.0
| S/N | 19.0 | 28.5 | 32.7
| S/N(c) | 11.7 | 41.9 | 13.8
| SN(E/C) | 0.33
|
|
|
|
|
|
|
15000047
| 47
| | Red | Green | Blue
| z | | 19.18
| znorm | | 15.00
| sky | 15.0 | 14.8 | 15.1
| S/N | 18.9 | 28.9 | 32.5
| S/N(c) | 11.8 | 41.9 | 13.9
| SN(E/C) | 0.33
|
|
|
|
|
|
|
15000048
| 47
| | Red | Green | Blue
| z | | 19.15
| znorm | | 14.97
| sky | 15.0 | 14.8 | 15.0
| S/N | 18.9 | 28.7 | 31.7
| S/N(c) | 11.7 | 41.3 | 13.7
| SN(E/C) | 0.33
|
|
|
|
|
|
|
15000049
| 47
| | Red | Green | Blue
| z | | 19.13
| znorm | | 14.95
| sky | 15.0 | 14.9 | 15.1
| S/N | 18.6 | 28.3 | 31.5
| S/N(c) | 11.7 | 41.1 | 13.6
| SN(E/C) | 0.34
|
|
|
|
|
|
|
15000050
| 47
| | Red | Green | Blue
| z | | 19.03
| znorm | | 14.85
| sky | 15.0 | 15.0 | 15.0
| S/N | 17.6 | 27.1 | 30.0
| S/N(c) | 11.1 | 39.2 | 13.2
| SN(E/C) | 0.34
|
|
|
|
|
|
|
15000051
| 47
| | Red | Green | Blue
| z | | 19.10
| znorm | | 14.92
| sky | 14.9 | 14.9 | 14.9
| S/N | 18.3 | 28.2 | 30.9
| S/N(c) | 11.3 | 39.1 | 13.5
| SN(E/C) | 0.36
|
|
|
|
|
|
|