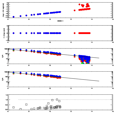
Left plots: red are targets, blue are telluric. Observed mags are calculated from median value of green chip. Zeropoint gives overall throughput: bigger number is more throughput.
First spatial plots: circles are objects, squares are tellurics, crosses are sky fibers. Colors give deviation of observed mag from expected 2MASS mag using the median zeropoint; red is brighter
Second spatial plots: circles are sky fibers. Colors give sky line brightness relative to plate median sky line brightness
FrameNreadsZeropointsMag plots Spatial mag deviation Spatial sky 16325A emission deviations (filled: sky, open: star) Spatial sky continuum emission Spatial sky telluric CO2 absorption deviations (filled: H < 10)
0 0
RedGreenBlue
z17.64
znorm Inf
sky -Inf -NaN -NaN
S/N 35.0 55.2 61.7
S/N(c) 22.5 44.6 35.1
SN(E/C) 0.24

IPAIRNAMESHIFTNEWSHIFTS/N NAMESHIFTNEWSHIFTS/N
0 15290024 0.504878 0.00000 18.9812 15290025 0.000598239 0.504280 19.0065
1 15290028 0.504650 0.000227988 19.0538 15290022 0.00000 0.504878 19.0412
2 15290027 0.503626 0.00125200 18.9873 15290029 0.000711987 0.504166 19.0410
3 15290023 0.504237 0.000640988 18.9758 15290026 0.000587448 0.504291 18.9967