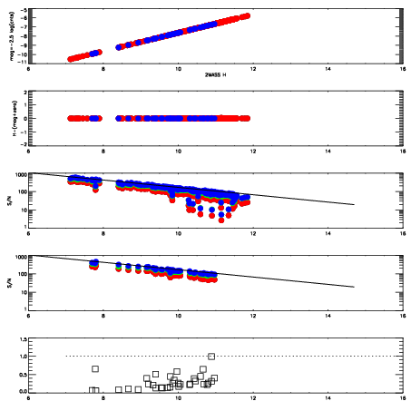
Left plots: red are targets, blue are telluric. Observed mags are calculated from median value of green chip. Zeropoint gives overall throughput: bigger number is more throughput.
First spatial plots: circles are objects, squares are tellurics, crosses are sky fibers. Colors give deviation of observed mag from expected 2MASS mag using the median zeropoint; red is brighter
Second spatial plots: circles are sky fibers. Colors give sky line brightness relative to plate median sky line brightness
FrameNreadsZeropointsMag plots Spatial mag deviation Spatial sky 16325A emission deviations (filled: sky, open: star) Spatial sky continuum emission Spatial sky telluric CO2 absorption deviations (filled: H < 10)
0 0
RedGreenBlue
z17.64
znorm Inf
sky -Inf -Inf -NaN
S/N 20.6 39.8 40.9
S/N(c) 0.0 0.0 0.0
SN(E/C) 0.24

IPAIRNAMESHIFTNEWSHIFTS/N NAMESHIFTNEWSHIFTS/N
0 15730073 0.489264 0.00000 17.6753 15730072 0.000748212 0.488516 17.6102
1 15730066 0.487183 0.00208101 18.4650 15730067 0.000577602 0.488686 18.5488
2 15730070 0.488388 0.000876009 18.3506 15730079 0.00166536 0.487599 18.2059
3 15730077 0.487195 0.00206903 18.3065 15730064 0.00000 0.489264 18.1890
4 15730078 0.487717 0.00154701 18.2023 15730076 0.000909821 0.488354 18.1546
5 15730065 0.487664 0.00160000 18.1867 15730071 0.000363311 0.488901 17.9729
6 15730081 0.487794 0.00147000 17.6930 15730075 0.000970499 0.488293 17.7703
7 15730074 0.489099 0.000165015 17.5714 15730080 0.00123869 0.488025 17.5267
8 15730069 0.488570 0.000694007 17.0177 15730068 0.00215461 0.487109 16.5273