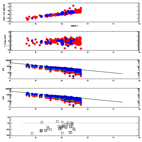
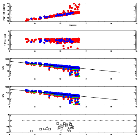
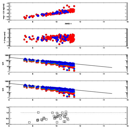
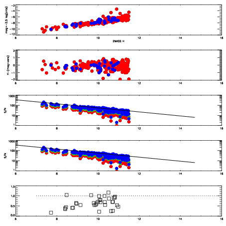
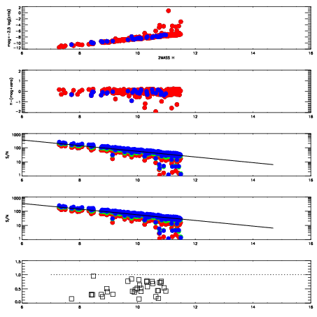
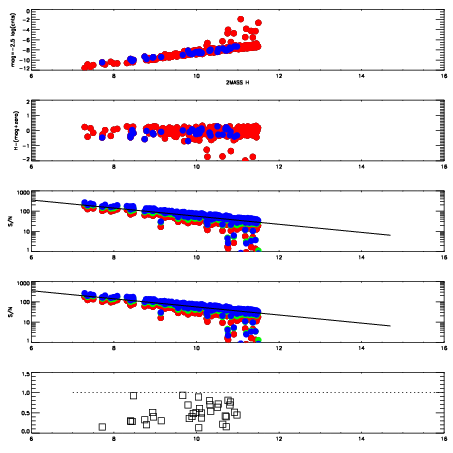
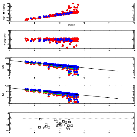
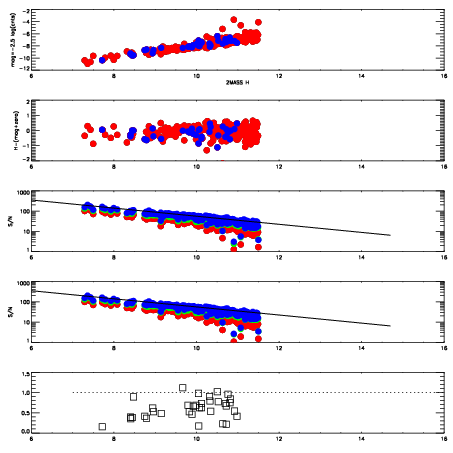
Frame | Nreads | Zeropoints | Mag plots
| Spatial mag deviation
| Spatial sky 16325A emission deviations (filled: sky, open: star)
| Spatial sky continuum emission
| Spatial sky telluric CO2 absorption deviations (filled: H < 10)
|
18400012
| 42
| | Red | Green | Blue
| z | | 17.71
| znorm | | 13.66
| sky | 14.6 | 14.5 | 14.2
| S/N | 7.3 | 13.6 | 14.2
| S/N(c) | 6.9 | 6.3 | 7.1
| SN(E/C) | 0.65
|
|
|
|
|
|
|
18400013
| 42
| | Red | Green | Blue
| z | | 17.68
| znorm | | 13.62
| sky | 14.9 | 14.7 | 14.5
| S/N | 7.0 | 13.4 | 14.2
| S/N(c) | 6.8 | 6.2 | 6.9
| SN(E/C) | 0.63
|
|
|
|
|
|
|
18400014
| 42
| | Red | Green | Blue
| z | | 17.72
| znorm | | 13.66
| sky | 14.8 | 14.9 | 14.6
| S/N | 7.1 | 12.9 | 14.5
| S/N(c) | 7.3 | 6.6 | 7.4
| SN(E/C) | 0.69
|
|
|
|
|
|
|
18400015
| 42
| | Red | Green | Blue
| z | | 17.83
| znorm | | 13.77
| sky | 15.2 | 14.9 | 14.6
| S/N | 7.5 | 13.7 | 15.1
| S/N(c) | 7.8 | 7.0 | 7.7
| SN(E/C) | 0.64
|
|
|
|
|
|
|
18400016
| 42
| | Red | Green | Blue
| z | | 18.54
| znorm | | 14.48
| sky | 14.8 | 14.7 | 14.6
| S/N | 12.3 | 20.6 | 23.4
| S/N(c) | 12.2 | 9.9 | 11.2
| SN(E/C) | 0.47
|
|
|
|
|
|
|
18400017
| 42
| | Red | Green | Blue
| z | | 18.48
| znorm | | 14.42
| sky | 15.0 | 14.7 | 14.6
| S/N | 12.0 | 19.7 | 22.6
| S/N(c) | 11.6 | 9.6 | 10.7
| SN(E/C) | 0.46
|
|
|
|
|
|
|
18400018
| 42
| | Red | Green | Blue
| z | | 17.84
| znorm | | 13.78
| sky | 14.7 | 14.9 | 14.8
| S/N | 7.5 | 14.1 | 15.3
| S/N(c) | 7.7 | 6.9 | 7.7
| SN(E/C) | 0.58
|
|
|
|
|
|
|
18400019
| 42
| | Red | Green | Blue
| z | | 17.94
| znorm | | 13.89
| sky | 15.0 | 14.9 | 14.7
| S/N | 7.9 | 14.7 | 16.1
| S/N(c) | 8.1 | 7.3 | 8.2
| SN(E/C) | 0.61
|
|
|
|
|
|
|
18400020
| 42
| | Red | Green | Blue
| z | | 18.02
| znorm | | 13.96
| sky | 14.8 | 14.8 | 15.0
| S/N | 8.1 | 15.0 | 16.5
| S/N(c) | 8.9 | 7.7 | 8.5
| SN(E/C) | 0.62
|
|
|
|
|
|
|
18400021
| 42
| | Red | Green | Blue
| z | | 18.01
| znorm | | 13.96
| sky | 15.5 | 15.5 | 15.0
| S/N | 8.2 | 15.3 | 16.8
| S/N(c) | 9.0 | 7.6 | 8.6
| SN(E/C) | 0.63
|
|
|
|
|
|
|
18400022
| 42
| | Red | Green | Blue
| z | | 18.63
| znorm | | 14.57
| sky | 14.8 | 14.9 | 15.0
| S/N | 12.8 | 21.4 | 24.4
| S/N(c) | 12.6 | 10.1 | 11.4
| SN(E/C) | 0.48
|
|
|
|
|
|
|
18400023
| 42
| | Red | Green | Blue
| z | | 18.60
| znorm | | 14.54
| sky | 14.8 | 14.9 | 14.8
| S/N | 12.5 | 20.8 | 24.1
| S/N(c) | 12.4 | 10.1 | 11.4
| SN(E/C) | 0.44
|
|
|
|
|
|
|