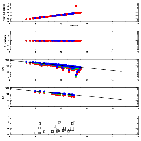
Left plots: red are targets, blue are telluric. Observed mags are calculated from median value of green chip. Zeropoint gives overall throughput: bigger number is more throughput.
First spatial plots: circles are objects, squares are tellurics, crosses are sky fibers. Colors give deviation of observed mag from expected 2MASS mag using the median zeropoint; red is brighter
Second spatial plots: circles are sky fibers. Colors give sky line brightness relative to plate median sky line brightness
FrameNreadsZeropointsMag plots Spatial mag deviation Spatial sky 16325A emission deviations (filled: sky, open: star) Spatial sky continuum emission Spatial sky telluric CO2 absorption deviations (filled: H < 10)
0 0
RedGreenBlue
z17.64
znorm Inf
sky -NaN -Inf -Inf
S/N 22.4 37.6 42.4
S/N(c) 0.0 0.0 0.0
SN(E/C) 0.36

IPAIRNAMESHIFTNEWSHIFTS/N NAMESHIFTNEWSHIFTS/N
0 15590016 0.488781 0.00000 18.1762 15590015 0.00263831 0.486143 18.1193
1 15590012 0.486742 0.00203902 18.8112 15590011 0.00000 0.488781 18.7854
2 15590017 0.488112 0.000669003 18.6747 15590018 0.00274156 0.486039 18.6734
3 15590013 0.487813 0.000968009 18.0312 15590014 0.00281377 0.485967 18.1044