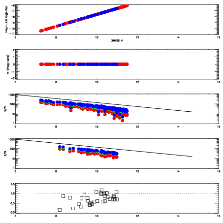
Left plots: red are targets, blue are telluric. Observed mags are calculated from median value of green chip. Zeropoint gives overall throughput: bigger number is more throughput.
First spatial plots: circles are objects, squares are tellurics, crosses are sky fibers. Colors give deviation of observed mag from expected 2MASS mag using the median zeropoint; red is brighter
Second spatial plots: circles are sky fibers. Colors give sky line brightness relative to plate median sky line brightness
FrameNreadsZeropointsMag plots Spatial mag deviation Spatial sky 16325A emission deviations (filled: sky, open: star) Spatial sky continuum emission Spatial sky telluric CO2 absorption deviations (filled: H < 10)
0 0
RedGreenBlue
z17.64
znorm Inf
sky -Inf -Inf -Inf
S/N 7.5 15.4 17.1
S/N(c) 0.0 0.0 0.0
SN(E/C) 0.74

IPAIRNAMESHIFTNEWSHIFTS/N NAMESHIFTNEWSHIFTS/N
0 15430017 0.500677 0.00000 17.0655 15430019 0.00299144 0.497686 16.5103
1 15430030 0.499405 0.00127199 17.2947 15430018 0.00344928 0.497228 17.6797
2 15430016 0.500201 0.000476003 17.1207 15430015 0.00232093 0.498356 16.5852
3 15430025 0.498854 0.00182298 15.7682 15430029 0.00335547 0.497322 16.2864
4 15430020 0.497418 0.00325900 15.6914 15430014 0.00209475 0.498582 15.2476
5 15430012 0.498850 0.00182700 15.0025 15430022 0.00300416 0.497673 14.8258