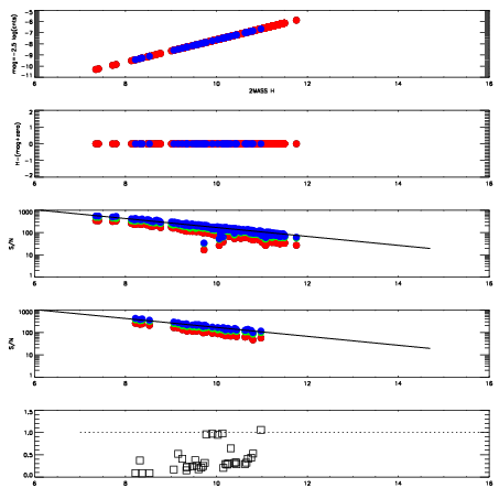
Left plots: red are targets, blue are telluric. Observed mags are calculated from median value of green chip. Zeropoint gives overall throughput: bigger number is more throughput.
First spatial plots: circles are objects, squares are tellurics, crosses are sky fibers. Colors give deviation of observed mag from expected 2MASS mag using the median zeropoint; red is brighter
Second spatial plots: circles are sky fibers. Colors give sky line brightness relative to plate median sky line brightness
FrameNreadsZeropointsMag plots Spatial mag deviation Spatial sky 16325A emission deviations (filled: sky, open: star) Spatial sky continuum emission Spatial sky telluric CO2 absorption deviations (filled: H < 10)
0 0
RedGreenBlue
z17.64
znorm Inf
sky -Inf -Inf -NaN
S/N 21.9 45.7 50.5
S/N(c) 0.0 0.0 0.0
SN(E/C) 0.30

IPAIRNAMESHIFTNEWSHIFTS/N NAMESHIFTNEWSHIFTS/N
0 18420052 0.501516 0.00000 18.1309 18420054 0.000414913 0.501101 18.1893
1 18420059 0.501073 0.000442982 18.4442 18420053 0.000633125 0.500883 18.3751
2 18420060 0.500783 0.000732958 18.3864 18420058 -0.000195769 0.501712 18.3549
3 18420051 0.501185 0.000330985 18.3100 18420061 -0.00284428 0.504360 18.3421
4 18420055 0.500897 0.000618994 18.2905 18420050 6.08669e-05 0.501455 18.2910
5 18420056 0.501215 0.000301003 18.2594 18420049 7.57978e-05 0.501440 18.2223
6 18420047 0.500253 0.00126296 18.1920 18420057 0.000182013 0.501334 18.2008
7 18420063 0.499746 0.00176999 18.0176 18420046 0.00000 0.501516 18.1834
8 18420048 0.501320 0.000195980 17.9076 18420062 -0.00231953 0.503835 18.0977