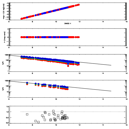
Left plots: red are targets, blue are telluric. Observed mags are calculated from median value of green chip. Zeropoint gives overall throughput: bigger number is more throughput.
First spatial plots: circles are objects, squares are tellurics, crosses are sky fibers. Colors give deviation of observed mag from expected 2MASS mag using the median zeropoint; red is brighter
Second spatial plots: circles are sky fibers. Colors give sky line brightness relative to plate median sky line brightness
FrameNreadsZeropointsMag plots Spatial mag deviation Spatial sky 16325A emission deviations (filled: sky, open: star) Spatial sky continuum emission Spatial sky telluric CO2 absorption deviations (filled: H < 10)
0 0
RedGreenBlue
z17.64
znorm Inf
sky -Inf -Inf -Inf
S/N 15.2 28.2 29.4
S/N(c) 0.0 0.0 0.0
SN(E/C) 0.51

IPAIRNAMESHIFTNEWSHIFTS/N NAMESHIFTNEWSHIFTS/N
0 18060015 0.504876 0.00000 17.8439 18060014 0.00000 0.504876 17.9829
1 18060020 0.503167 0.00170904 18.1618 18060021 -0.000171875 0.505048 18.2368
2 18060019 0.503571 0.00130504 18.1405 18060018 0.000703414 0.504173 18.1114
3 18060016 0.504345 0.000531018 18.0855 18060017 0.000773910 0.504102 18.0854