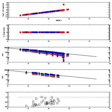
Left plots: red are targets, blue are telluric. Observed mags are calculated from median value of green chip. Zeropoint gives overall throughput: bigger number is more throughput.
First spatial plots: circles are objects, squares are tellurics, crosses are sky fibers. Colors give deviation of observed mag from expected 2MASS mag using the median zeropoint; red is brighter
Second spatial plots: circles are sky fibers. Colors give sky line brightness relative to plate median sky line brightness
FrameNreadsZeropointsMag plots Spatial mag deviation Spatial sky 16325A emission deviations (filled: sky, open: star) Spatial sky continuum emission Spatial sky telluric CO2 absorption deviations (filled: H < 10)
0 0
RedGreenBlue
z17.64
znorm Inf
sky -NaN -Inf -Inf
S/N 18.6 34.1 37.0
S/N(c) 0.0 0.0 0.0
SN(E/C) 0.42

IPAIRNAMESHIFTNEWSHIFTS/N NAMESHIFTNEWSHIFTS/N
0 18040042 0.508447 0.00000 18.1418 18040045 0.00224399 0.506203 18.4179
1 18040046 0.506678 0.00176901 18.3485 18040043 0.00271162 0.505735 18.4423
2 18040041 0.508290 0.000156999 18.0270 18040040 0.00000 0.508447 18.2554
3 18040047 0.508433 1.40071e-05 17.9932 18040048 -0.00217886 0.510626 17.8692