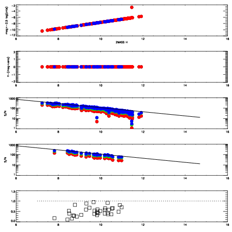
Left plots: red are targets, blue are telluric. Observed mags are calculated from median value of green chip. Zeropoint gives overall throughput: bigger number is more throughput.
First spatial plots: circles are objects, squares are tellurics, crosses are sky fibers. Colors give deviation of observed mag from expected 2MASS mag using the median zeropoint; red is brighter
Second spatial plots: circles are sky fibers. Colors give sky line brightness relative to plate median sky line brightness
FrameNreadsZeropointsMag plots Spatial mag deviation Spatial sky 16325A emission deviations (filled: sky, open: star) Spatial sky continuum emission Spatial sky telluric CO2 absorption deviations (filled: H < 10)
0 0
RedGreenBlue
z17.64
znorm Inf
sky -Inf -Inf -Inf
S/N 15.3 30.2 32.5
S/N(c) 0.0 0.0 0.0
SN(E/C) 0.49

IPAIRNAMESHIFTNEWSHIFTS/N NAMESHIFTNEWSHIFTS/N
0 18050047 0.505509 0.00000 18.0594 18050045 -0.00132423 0.506833 18.0273
1 18050046 0.504407 0.00110203 18.1426 18050048 0.000650444 0.504859 18.1133
2 18050043 0.503699 0.00181001 17.8594 18050044 -0.00123870 0.506748 17.6927
3 18050042 0.503271 0.00223804 17.3373 18050041 0.00000 0.505509 17.5128