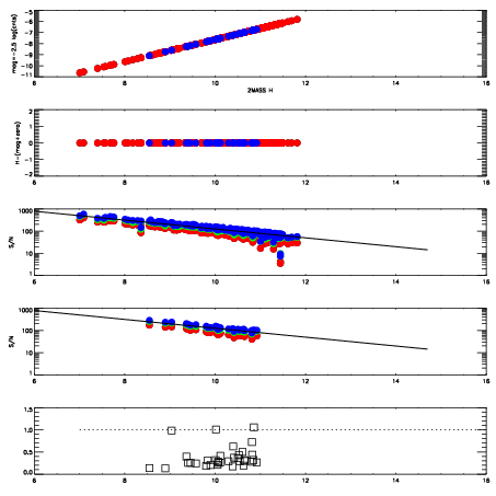
Left plots: red are targets, blue are telluric. Observed mags are calculated from median value of green chip. Zeropoint gives overall throughput: bigger number is more throughput.
First spatial plots: circles are objects, squares are tellurics, crosses are sky fibers. Colors give deviation of observed mag from expected 2MASS mag using the median zeropoint; red is brighter
Second spatial plots: circles are sky fibers. Colors give sky line brightness relative to plate median sky line brightness
FrameNreadsZeropointsMag plots Spatial mag deviation Spatial sky 16325A emission deviations (filled: sky, open: star) Spatial sky continuum emission Spatial sky telluric CO2 absorption deviations (filled: H < 10)
0 0
RedGreenBlue
z17.64
znorm Inf
sky -Inf -Inf -NaN
S/N 24.8 43.9 47.6
S/N(c) 0.0 0.0 0.0
SN(E/C) 0.30

IPAIRNAMESHIFTNEWSHIFTS/N NAMESHIFTNEWSHIFTS/N
0 15910019 0.493693 0.00000 18.1505 15910020 0.00378987 0.489903 18.1633
1 15910015 0.490528 0.00316501 18.7794 15910016 0.00145502 0.492238 18.8017
2 15910014 0.489479 0.00421399 18.7611 15910021 0.00354377 0.490149 18.7710
3 15910022 0.493053 0.000640005 18.7376 15910013 0.00000 0.493693 18.7704
4 15910018 0.492893 0.000799984 17.9998 15910017 0.00283395 0.490859 18.0439