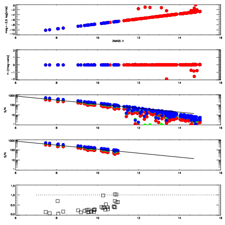
Left plots: red are targets, blue are telluric. Observed mags are calculated from median value of green chip. Zeropoint gives overall throughput: bigger number is more throughput.
First spatial plots: circles are objects, squares are tellurics, crosses are sky fibers. Colors give deviation of observed mag from expected 2MASS mag using the median zeropoint; red is brighter
Second spatial plots: circles are sky fibers. Colors give sky line brightness relative to plate median sky line brightness
FrameNreadsZeropointsMag plots Spatial mag deviation Spatial sky 16325A emission deviations (filled: sky, open: star) Spatial sky continuum emission Spatial sky telluric CO2 absorption deviations (filled: H < 10)
0 0
RedGreenBlue
z17.65
znorm Inf
sky -Inf -Inf -Inf
S/N 19.2 34.9 37.2
S/N(c) 46.0 24.7 24.1
SN(E/C) 0.27

IPAIRNAMESHIFTNEWSHIFTS/N NAMESHIFTNEWSHIFTS/N
0 15260054 0.507214 0.00000 18.9214 15260052 -0.00166254 0.508877 18.9672
1 15260053 0.506146 0.00106800 18.7128 15260051 -0.00132206 0.508536 18.9626
2 15260049 0.505638 0.00157601 18.7047 15260055 -0.000453138 0.507667 18.9452
3 15260050 0.506416 0.000797987 18.6089 15260048 0.00000 0.507214 18.3043