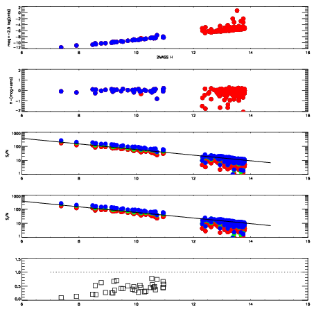
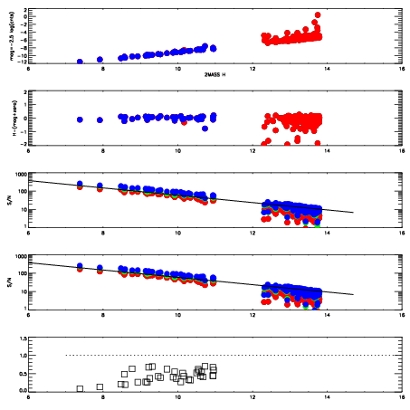
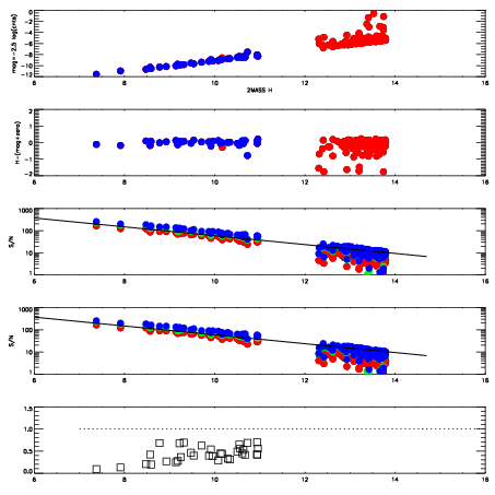
Frame | Nreads | Zeropoints | Mag plots
| Spatial mag deviation
| Spatial sky 16325A emission deviations (filled: sky, open: star)
| Spatial sky continuum emission
| Spatial sky telluric CO2 absorption deviations (filled: H < 10)
|
16130018
| 47
| | Red | Green | Blue
| z | | 19.04
| znorm | | 14.86
| sky | 14.5 | 14.4 | 14.6
| S/N | 19.3 | 25.7 | 32.9
| S/N(c) | 18.3 | 27.4 | 14.6
| SN(E/C) | 0.45
|
|
|
|
|
|
|
16130019
| 47
| | Red | Green | Blue
| z | | 19.04
| znorm | | 14.86
| sky | 14.4 | 14.5 | 14.7
| S/N | 18.8 | 25.3 | 32.3
| S/N(c) | 18.0 | 27.0 | 14.4
| SN(E/C) | 0.43
|
|
|
|
|
|
|
16130020
| 47
| | Red | Green | Blue
| z | | 19.04
| znorm | | 14.86
| sky | 14.6 | 14.6 | 14.8
| S/N | 18.9 | 25.6 | 32.5
| S/N(c) | 17.9 | 26.9 | 14.5
| SN(E/C) | 0.42
|
|
|
|
|
|
|
16130021
| 47
| | Red | Green | Blue
| z | | 19.09
| znorm | | 14.91
| sky | 14.6 | 14.7 | 14.8
| S/N | 19.2 | 25.9 | 33.1
| S/N(c) | 18.4 | 27.7 | 14.7
| SN(E/C) | 0.44
|
|
|
|
|
|
|
16130022
| 47
| | Red | Green | Blue
| z | | 19.07
| znorm | | 14.89
| sky | 14.7 | 14.6 | 14.8
| S/N | 19.1 | 25.9 | 33.1
| S/N(c) | 18.4 | 27.5 | 14.6
| SN(E/C) | 0.44
|
|
|
|
|
|
|
16130023
| 47
| | Red | Green | Blue
| z | | 19.00
| znorm | | 14.82
| sky | 14.5 | 14.6 | 14.7
| S/N | 18.1 | 24.7 | 31.4
| S/N(c) | 17.4 | 26.4 | 14.0
| SN(E/C) | 0.47
|
|
|
|
|
|
|
16130024
| 47
| | Red | Green | Blue
| z | | 18.97
| znorm | | 14.79
| sky | 14.5 | 14.5 | 14.7
| S/N | 17.9 | 24.6 | 31.2
| S/N(c) | 17.5 | 26.4 | 14.0
| SN(E/C) | 0.45
|
|
|
|
|
|
|
16130025
| 47
| | Red | Green | Blue
| z | | 18.90
| znorm | | 14.72
| sky | 14.4 | 14.5 | 14.6
| S/N | 17.2 | 23.7 | 30.2
| S/N(c) | 16.6 | 25.2 | 13.4
| SN(E/C) | 0.46
|
|
|
|
|
|
|