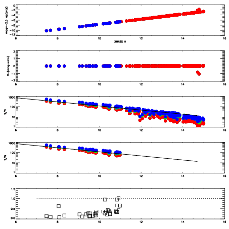
Left plots: red are targets, blue are telluric. Observed mags are calculated from median value of green chip. Zeropoint gives overall throughput: bigger number is more throughput.
First spatial plots: circles are objects, squares are tellurics, crosses are sky fibers. Colors give deviation of observed mag from expected 2MASS mag using the median zeropoint; red is brighter
Second spatial plots: circles are sky fibers. Colors give sky line brightness relative to plate median sky line brightness
FrameNreadsZeropointsMag plots Spatial mag deviation Spatial sky 16325A emission deviations (filled: sky, open: star) Spatial sky continuum emission Spatial sky telluric CO2 absorption deviations (filled: H < 10)
0 0
RedGreenBlue
z17.64
znorm Inf
sky -Inf -Inf -Inf
S/N 20.1 36.8 38.8
S/N(c) 46.6 90.8 72.7
SN(E/C) 0.28

IPAIRNAMESHIFTNEWSHIFTS/N NAMESHIFTNEWSHIFTS/N
0 15570032 0.491644 0.00000 18.8734 15570033 0.00106003 0.490584 18.8656
1 15570028 0.491456 0.000187993 18.9386 15570029 0.000910862 0.490733 18.9644
2 15570027 0.491001 0.000642985 18.9096 15570030 0.000898192 0.490746 18.9605
3 15570031 0.490788 0.000855982 18.9043 15570026 0.00000 0.491644 18.9548