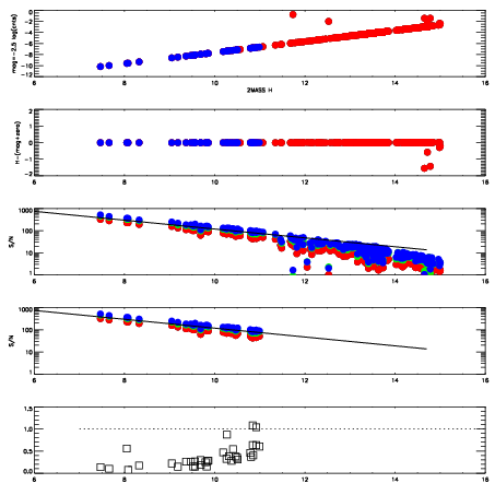
Left plots: red are targets, blue are telluric. Observed mags are calculated from median value of green chip. Zeropoint gives overall throughput: bigger number is more throughput.
First spatial plots: circles are objects, squares are tellurics, crosses are sky fibers. Colors give deviation of observed mag from expected 2MASS mag using the median zeropoint; red is brighter
Second spatial plots: circles are sky fibers. Colors give sky line brightness relative to plate median sky line brightness
FrameNreadsZeropointsMag plots Spatial mag deviation Spatial sky 16325A emission deviations (filled: sky, open: star) Spatial sky continuum emission Spatial sky telluric CO2 absorption deviations (filled: H < 10)
0 0
RedGreenBlue
z17.64
znorm Inf
sky -Inf -Inf -NaN
S/N 14.8 26.6 27.2
S/N(c) 17.0 20.4 42.0
SN(E/C) 0.29

IPAIRNAMESHIFTNEWSHIFTS/N NAMESHIFTNEWSHIFTS/N
0 16070013 0.488385 0.00000 18.7360 16070018 -0.00369433 0.492079 18.7860
1 16070012 0.487865 0.000519991 18.7022 16070011 0.00000 0.488385 18.7826
2 16070017 0.487160 0.00122499 18.6924 16070014 -0.00181537 0.490200 18.7607
3 16070016 0.486479 0.00190598 18.5513 16070015 -0.00227558 0.490661 18.5921