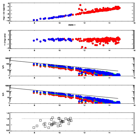
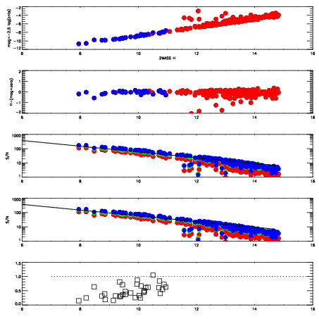
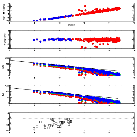
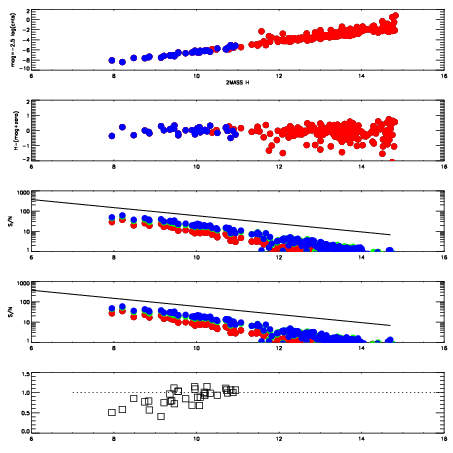
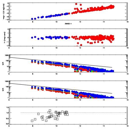
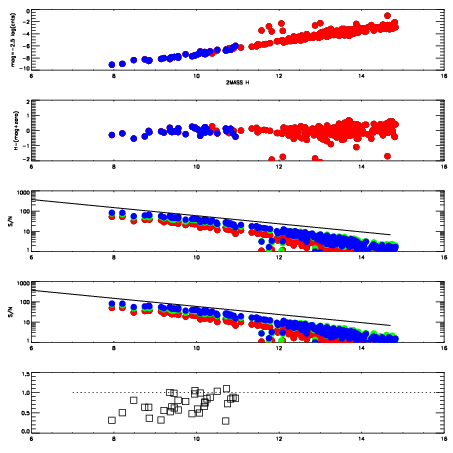
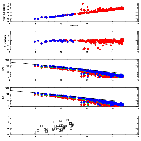
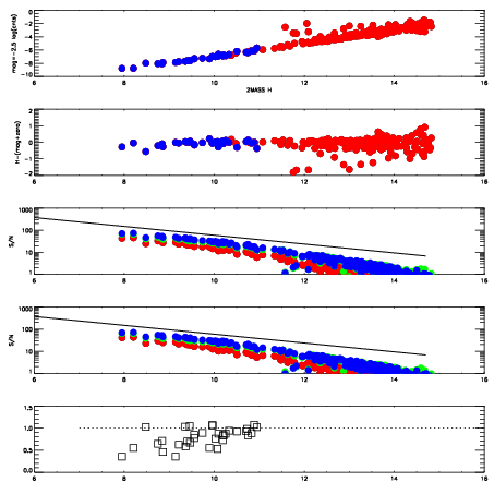
Frame | Nreads | Zeropoints | Mag plots
| Spatial mag deviation
| Spatial sky 16325A emission deviations (filled: sky, open: star)
| Spatial sky continuum emission
| Spatial sky telluric CO2 absorption deviations (filled: H < 10)
|
15320011
| 47
| | Red | Green | Blue
| z | | 17.35
| znorm | | 13.17
| sky | 15.0 | 14.9 | 15.3
| S/N | 4.3 | 9.5 | 9.3
| S/N(c) | 11.6 | 11.5 | 11.2
| SN(E/C) | 0.74
|
|
|
|
|
|
|
15320012
| 47
| | Red | Green | Blue
| z | | 18.49
| znorm | | 14.31
| sky | 15.2 | 15.4 | 15.6
| S/N | 10.0 | 19.3 | 20.1
| S/N(c) | 24.1 | 20.3 | 19.7
| SN(E/C) | 0.52
|
|
|
|
|
|
|
15320013
| 47
| | Red | Green | Blue
| z | | 18.82
| znorm | | 14.64
| sky | 15.2 | 15.4 | 15.5
| S/N | 12.7 | 22.8 | 24.1
| S/N(c) | 29.0 | 24.1 | 23.5
| SN(E/C) | 0.47
|
|
|
|
|
|
|
15320014
| 47
| | Red | Green | Blue
| z | | 18.27
| znorm | | 14.09
| sky | 15.3 | 15.3 | 15.3
| S/N | 8.1 | 16.1 | 16.5
| S/N(c) | 20.8 | 18.5 | 17.6
| SN(E/C) | 0.59
|
|
|
|
|
|
|
15320015
| 47
| | Red | Green | Blue
| z | | 18.22
| znorm | | 14.04
| sky | 15.6 | 15.3 | 15.5
| S/N | 8.1 | 16.1 | 16.8
| S/N(c) | 20.5 | 17.8 | 17.3
| SN(E/C) | 0.58
|
|
|
|
|
|
|
15320016
| 47
| | Red | Green | Blue
| z | | 18.19
| znorm | | 14.01
| sky | 15.0 | 15.2 | 15.4
| S/N | 8.3 | 15.9 | 16.3
| S/N(c) | 19.4 | 17.3 | 16.7
| SN(E/C) | 0.59
|
|
|
|
|
|
|
15320017
| 47
| | Red | Green | Blue
| z | | 17.92
| znorm | | 13.74
| sky | 15.0 | 15.2 | 15.4
| S/N | 6.6 | 13.4 | 13.8
| S/N(c) | 16.4 | 15.1 | 14.7
| SN(E/C) | 0.65
|
|
|
|
|
|
|
15320018
| 47
| | Red | Green | Blue
| z | | 17.98
| znorm | | 13.80
| sky | 14.9 | 15.1 | 15.3
| S/N | 7.2 | 14.4 | 14.8
| S/N(c) | 16.7 | 15.6 | 14.7
| SN(E/C) | 0.62
|
|
|
|
|
|
|
15320019
| 47
| | Red | Green | Blue
| z | | 17.00
| znorm | | 12.82
| sky | 14.9 | 14.9 | 15.2
| S/N | 2.7 | 7.1 | 7.0
| S/N(c) | 7.9 | 8.8 | 8.2
| SN(E/C) | 0.84
|
|
|
|
|
|
|
15320020
| 47
| | Red | Green | Blue
| z | | 17.56
| znorm | | 13.38
| sky | 15.2 | 15.0 | 15.1
| S/N | 4.6 | 10.4 | 10.4
| S/N(c) | 12.1 | 12.8 | 11.6
| SN(E/C) | 0.71
|
|
|
|
|
|
|
15320021
| 47
| | Red | Green | Blue
| z | | 17.27
| znorm | | 13.09
| sky | 14.9 | 14.8 | 15.0
| S/N | 4.0 | 8.6 | 8.8
| S/N(c) | 9.8 | 10.7 | 9.6
| SN(E/C) | 0.84
|
|
|
|
|
|
|
15320022
| 47
| | Red | Green | Blue
| z | | 16.37
| znorm | | 12.19
| sky | 14.8 | 14.7 | 14.8
| S/N | 1.1 | 3.7 | 3.8
| S/N(c) | 5.1 | 6.3 | 5.8
| SN(E/C) | 0.93
|
|
|
|
|
|
|