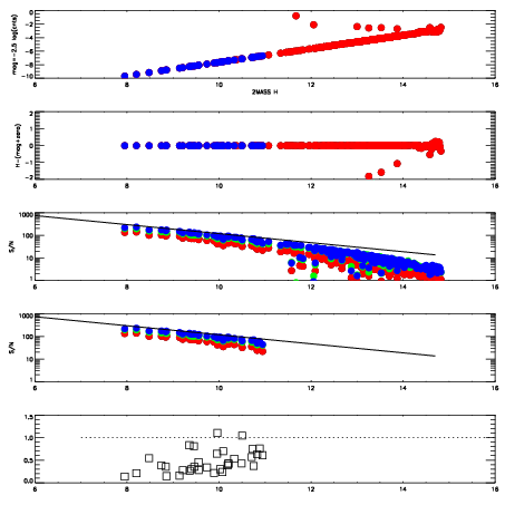
Left plots: red are targets, blue are telluric. Observed mags are calculated from median value of green chip. Zeropoint gives overall throughput: bigger number is more throughput.
First spatial plots: circles are objects, squares are tellurics, crosses are sky fibers. Colors give deviation of observed mag from expected 2MASS mag using the median zeropoint; red is brighter
Second spatial plots: circles are sky fibers. Colors give sky line brightness relative to plate median sky line brightness
FrameNreadsZeropointsMag plots Spatial mag deviation Spatial sky 16325A emission deviations (filled: sky, open: star) Spatial sky continuum emission Spatial sky telluric CO2 absorption deviations (filled: H < 10)
0 0
RedGreenBlue
z17.65
znorm Inf
sky -Inf -Inf -Inf
S/N 11.2 23.7 24.9
S/N(c) 17.1 24.1 56.4
SN(E/C) 0.42

IPAIRNAMESHIFTNEWSHIFTS/N NAMESHIFTNEWSHIFTS/N
0 15580042 0.492056 0.00000 17.8101 15580047 0.00162732 0.490429 17.5696
1 15580041 0.491403 0.000652999 18.3133 15580040 0.00000 0.492056 18.5210
2 15580046 0.491207 0.000849009 17.9219 15580044 0.00106964 0.490986 17.8147
3 15580045 0.490846 0.00121000 17.8954 15580043 0.00156423 0.490492 17.6646